前言
笔记资料来源
(1)基本架构来源于
公众号:大年的资料库
作者:文哥的学习日记
知乎链接:
(2)视频资料来源于——B 站
一、基础知识
在 正 式 讲 到 线 代 具 体 的 概 念 前 , 我 们 先 回 忆 一 下 小 学 中 学 时 期 的 数 学 知 识 。
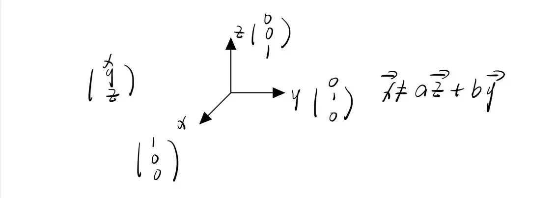
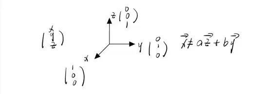
1-1:一维空间
一维空间指的是一条线上所有的点组成的空间,一般我们会用数轴作为一种衡量方式,来描述这条直线上所有的点,换言之,这条线上所有的点都可以在数轴上表示出来。
1-2:二维空间
二维空间指的是一个平面空间,一般我们会用平面直角坐标系作为衡量方式,这样一来,整个平面上所有的点都能用坐标来表示了。值得注意的是,选择平面直角坐标系,并且规定单位长度为 1,是因为比较方便计算和表示。
事实上,我们还学过斜坐标系,平面上同样一个点,在直角坐标系和斜坐标系中的描述是不一样的,但描述的都是这个点,就类似于你站在一棵树的右边,一块石头的左边,我以树为参照说你在树的右边,或者以石头为参照说你在石头左边,都没问题。
但具体计算里面,为了简化,我们通常都是选择平面直角坐标系来描述。
1-3:三维空间
三维空间指的是一个立体的空间,一般我们会用空间直角坐标系作为衡量方式,这样,整个三维空间所有的点都能用坐标表示出来了。但同样的,并不是只有空间直角坐标系这一种描述方式,也可以选择不是直角的空间坐标系,但往往这样一来,表示和计算会比较复杂,所以我们一般还是会用空间直角坐标系。
同理,四维五维更高维的空间也是如此,只是这超出了我们能想象的空间,所以就比较难有直观的感受了。
这一部分不是无关内容,对后面理解向量怎么表示,在空间里怎么变换是有意义的。所以希望大家看完能有个大概印象。
二、线性代数的用途
如果把空间理解为一个容纳运动的对象集合,那么线性代数本质上研究的就是线性空间中的【线性变换】(你可以理解为运动),那运动的对象就是【向量】,运动的方式就是【矩阵】,所以其实矩阵是一种线性变换,矩阵乘向量表示的就是向量按照某种规则去做线性变换。矩阵乘向量之后的得到的向量,就是最开始的向量通过线性变换之后的结果。
这个时候你有没有想到另一个概念——函数。
函数的三要素是什么,自变量
“变换”本质上是 “函数” 的一种花哨的说法,它接收输入内容,并输出对应结果。特别地,在线性代数的情况下,我们考虑的是接收一个向量并且输出一个向量的变换。既然 “变换” 和“函数”意义相同,为什么还要使用前者而不是后者?因为使用 “变换” 是在暗示以特定方式来可视化这一输入~ 输出关系。——3blue1brown《线性代数的本质》
你现在对线性代数本质上研究的东西有没有清晰一点。
三、基 & 向量 & 张成空间
3-1:向量
向量即我们的研究对象。
我们的资料给出的定义是有序数组,而向量在线性空间里就是一个以原点为起点的箭头。我们的线性变换就是以向量为对象了。
线性代数围绕两种基本运算:向量加法和向量数乘
| 物理观点 | 列表观点 | |
|---|---|---|
| 向量的【加法】 | 运动 | 对应项相加 |
| 向量的【数乘】 | 缩放(标量的作用就是缩放) | 分量与标量相乘 |
考虑平面中的
一个向量的坐标由一对数组成,这对数指导我们如何从原点走到向量的终点。

如上图的向量,它告诉我们先沿
| (1)向量加法的几何意义 |
假设我们现在有两个向量:

如果我们把

为什么是这样,还是回到向量的意义来,他定义了一种移动方式,假设
因此向量加法的几何意义,我们可以看作是多次移动的累积结果,从计算上来看,就是如下的式子:

| (2)向量乘法的几何意义 |
向量乘法就是对向量进行拉伸 (乘以一个大于 1 的正数),压缩 (乘以一个小于 1 的正数),翻转向量的行为 (乘以一个负数),这些行为统称为统称为 scaling。而向量乘上的这些数值本身,称之为向量 (scalars)。
向量乘法的计算方式如下:

3-2:基
基——描述向量 “每当我们用数字描述向量,都依赖于我们正在使用的基。”——3blue1brown
向量是有序数组,那么我们用来表示向量的这些数是哪来的,其实依赖于另一个概念——基。
向量空间的一组基是张成该空间的一个线性无关向量集。我们在线性空间里,也需要有点类似于数轴,平面直角坐标系或者空间直角坐标系这样的一种衡量方式,这里我们是用坐标轴和基来表示,只是这时候我们描述的对象不再是点了,而变成了向量。任何向量都是其所在线性空间的基的线性组合。
在一个二维空间里,我们选择用来做坐标系的直线有什么特点,你可以不是直角,但是你不能重合也不能平行,因为这样你就没法确定一个平面了,也就没法描述该平面所有的点了(想想初中的定理,两条相交直线可以确定一个平面)。
同样的,我们在二维空间用来做基的向量,它必须非零而且不共线(其实就是不相关),这样它才能表示该空间所有的向量。如果共线了,它就只能描述这条直线上所有的向量了,而没法描述整个二维空间的向量。同理,三维空间更高维空间也是如此。
你再想想,一维空间我们的数轴是一条直线,二维空间的平面坐标系是两条,三维空间的空间坐标系是三条,那放在线性空间也是一样的,我们的空间是几维的,基的数量就是几个。
| (1)基向量 |
|---|
上一节介绍了向量之间两种最基本的运算,向量相加 以及 向量的缩放。
还是以二维平面为例,其实每一个向量都可以通过基向量 (basis vectors) 经由上面的两种运算得到,假设我们的基向量是 [1,0] 和[0,1],如下图

当然,基向量可以任意选择,定义两个向量

| (2)总结 |
|---|
1)线性空间内所有的向量都能由该线性空间的一组基向量线性表示;
2)一般空间是几维,取的基向量的个数就有几个;
3)基向量可以有很多种取法,并不唯一;
4)一组基向量其实就是极大线性无关组,再多一个就线性相关了,少一个无法描述空间内所有的向量了,(类似于你没法用数轴表示二维空间所有的点,也没法用平面坐标系表示三维空间所有的点)。
3-3:线性组合
**线性组合(Linear Combination)**的几何意义如下图所示

完整上来说,其实是向量之间的线性组合,其主体是向量,线性组合是一个操作,将各个向量缩放之后,相加在一起,就得到了参与操作的向量之间的线性组合。
线性组合有下面三种情况:
1)如果参与组合的一对向量不共线,那么由它们进行线性组合所得到的向量可以达到平面上的任意一个点:

2)如果参与组合的一对向量共线,那么由它们进行线性组合所得到的向量的终点被限制在一条通过原点的直线:

3)如果参与组合的一对向量都是零向量,那么由它们进行线性组合所得到的向量永远是零向量:

补充:“线性组合” 的定义

补充:“线性相关”与 “线性无关” 的定义

【注释】以
3-4:张成空间
向量张成的空间:给定向量

对于平面来说,如果两个向量不共线,那么可以张成整个二维平面,如果共线,只能张成一条直线。
| 给定的二维向量 | 张成的空间 |
|---|---|
| 1)一般的两个向量 | 所有二维向量的集合 |
| 2)两个共线的向量 | 一条直线上的向量的集合 |
| 3)两个零向量 | 一个点 |
对于三维空间来说,如果三个向量共线,那么只能张成一条直线,如果三个向量共平面,那么只能张成一个平面,如果三个向量不共平面,则可以张成整个三维空间。
| 给定的向量 | 张成的空间 |
|---|---|
| 1)一般的三个向量 | 空间中所有的三维向量(平面的扫动) |
| 2)三个向量,第三个落在前两个所张成的平面上 | 平面 |
| 3)三个共线的向量 | 一条线 |
| 4)三个零向量 | 一个点 |
| (1)线性相关 |
|---|
表示方法 1:如果一组向量中,至少有一个对张成的空间没有帮助,或者说其中一个向量可以表示成其他向量的线性组合,或者说其中一个向量在其他向量所张成的向量空间中,则称它们是线性相关的。

表示方法 2:有多个向量,可以移除之一而不减小张成的空间,称它们是线性相关的。
**表示方法 3:**考研定义



| (2)线性无关 |
|---|
所有向量都不能表示成其他向量的线性组合。(以二维为例,就是两个向量不共线)


四、矩阵 & 线性变换
4-1:线性变换
| (1)定义:Linear transformation |
|---|
变换其实也是一种函数,我们有一个输入向量,然后经过变换之后,得到一个输出向量。
整个过程,可以看作是输入的向量移动到了输出的向量位置。考虑整个平面上的向量,在经过变换之后,得到了一个最新的位置。

| (2)线性变换需要满足的条件: |
|---|
1)变换保持网格线平行且等距分布;
2)所有直线在变换后仍然保持为直线,不能有所弯曲;
3)原点位置必须保持固定。
| (3)如何描述线性变换 |
|---|
考虑向量


上图中,原先的
所以说,一个 2*2 的矩阵,
而该矩阵与一个向量


4-2:矩阵
我们在用矩阵描述线性变换时,实际上是在描述变换后的基向量坐标,比如在二维空间里,由于向量

因为线性变换网格线平行且等距分布,所以变换前后向量关于基向量的线性组合保持不变!——3blue1brown
旋转矩阵

剪切矩阵

4-3:复合矩阵
当多个线性变换复合作用于同一个向量的时候,可以通过矩阵复合运算(也就是矩阵乘法)得到一个等效变换。
矩阵实际上描述(追踪)的是基向量的变换,而空间内任意向量则是基向量特定的线性组合。——3blue1brown

两个矩阵相乘的几何意义
两个
使用




复合矩阵的运算
矩阵复合运算可以类比为函数中的

两个二阶矩阵相乘的计算




五、行列式
如果在二维空间中,我们画出相对应的网格,那么线性变换,就是对这些网格做了拉伸,收缩或者反转。那么如何来定义这种变换的程度呢?就需要用到**行列式(determinant)**的概念了。
在二维空间中,行列式是指小正方形(平面任取的,也可以是其他形状)面积的放大率,对于行列式为负数、为零的情况,可以以动态的方式去理解。
举一个简单的例子吧:

——在进行线性变换后,原来一个面积为 1 的单位方格,变成了面积为 6 的矩形。可以说,线性变换将原空间放大了 6 倍。
行列式就是线性变换的放大率。
行列式为零,也就是放大率为 0,在二维空间里,我们本来有个小正方形,好家伙,变换之后面积缩放为 0,什么意思,其实它代表空间被压缩了(比如 3 维被压缩到了 2 维,2 维被压缩到了 1 维),这个二维的平面空间可能被压缩成一条线了,所以放大率为 0 了。
因此可以通过行列式是否为 0 来判断线性变换后的空间的维度是否与原空间相同。


为什么
对于确定的线性变换(矩阵)而言,放大率(行列式)都是确定的,无关乎作用于空间的顺序。
意思是如果线性变换

行列式的计算




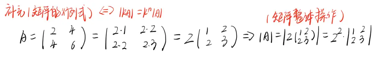
行列式提公因式 VS 矩阵提公因式



六、秩
矩阵的秩即经由该矩阵代表的线性变换后,所形成的空间的维数。

比如在三维空间中,如果经过某个矩阵 A 代表的线性变换后,空间变为一条直线,那么这个矩阵的秩为 1。如果空间变为一个平面,那么这个矩阵的秩为 2。如果还是三维空间,那么矩阵的秩为 3。


满秩:秩达到最大值时,意味着秩与列数相等,称之为满秩。
七、线性方程组
我们先从线性方程组着手,一个线性方程组可以表示成

看到这里,你也许已经知道这代表什么含义了,矩阵
线性方程组的求解过程其实就是找到向量
因此,我们可以把它变成另一个过程,即将
因此


那么既然逆矩阵相当于线性变换的逆操作,因此只有在线性变换后空间的维数不变的情况下,才能进行逆操作。再结合之前学习到的,线性变换不降维,前提条件是矩阵的行列式值不为 0,因此矩阵的逆矩阵存在的前提,即矩阵的行列式值不为 0。

一点小想法
绿水青山就是金山银山,我们一定要保护好我们所处的自然环境。我们的生命一定程度上是大自然给予的,那么我们可以看作是以大自然为基向量构成的一个特定组合,正因为每个人前面的系数不一样,又或者每个人所处的空间维度不同,才造就了独一无二、不可替代的我们。
我们成长的过程,就是一个接一个的线性变换过程,我们的生命是有限的,所以我们会有后来者,他们会接替我们,对我们进行逆变换,去解密我们一代又一代人留下的宝贵精神财富与物质财富。
而我们要做的,就是保证这个线性变换所处的空间不发生质的变化,给我们的后来者留下足够的发展空间。如此以往,人类的精神文明才能源远流长,绵延千年。
为什么行列式为 0,逆矩阵就不存在了?
行列式的值相当于变换的放大率,如果放大率为 0,就代表空间被压缩了,比如一个线性变换把二维空间压缩成了一维,也就是把某个平面压缩成了一条线,然而你没法根据这条线把它解压为原来的平面,因此这时候逆矩阵就不存在了。
我不知道讲清楚了没,可能简单看一遍没法消化,我希望你能多看两遍,通过上述内容,能大概明白向量和矩阵是怎么回事了。
对于方程组进一步的理解
(1)只有零解:秩为 3 就代表变换后维度是 3,整个变换都在三维空间,没有发生压缩空间,那么显然,只有 0 向量能在空间不发生压缩的情况下变换得到 0 向量。

(2)存在非零解:当秩为 2 的时候,代表变换后的空间维度为 2,三维空间被压缩到了二维,变换的过程中可能一整条线上的向量都被压缩到了原点,变成了 0 向量,这时候变换
假如它是 2x3 的矩阵,也就是把一个 3 维空间通过线性变换变成 2 维空间,很显然在变换的过程中,空间被压缩了,压缩过程中必有非 0 向量被压缩到了原点,因此方程有非零解。

同样
八、特征值与特征向量
矩阵代表的是一种线性变换,特征向量指的是在这种变换中仅仅是被拉伸或者压缩。特征值则是表示特征向量在变换中被拉伸或压缩比例的因子。另外,二维线性变换不一定有特征向量。
8-1:基变换
在二维空间中的向量

一个向量本没有坐标,之所以能够把向量转换成一组坐标,或者说能把向量转换成一组有序的数,是因为我们设定了一个【坐标系】。发生在向量与一组数之间的任意一种【转化】,都被称为一组坐标系。
之所以上面的向量表示为
平面中【任意】其他向量都可以表示为
本节主要介绍的是基变换的概念,顾名思义,基变换就是对基向量做变换!
假设我们的朋友詹妮弗使用另一组坐标系,即有另一组不同的基向量

那原先在我们的坐标系中

那么
综上所述可知,**同一个向量,使用不同的坐标系,得到的坐标是完全不同的。**那么如何在不同的坐标系中进行坐标转换呢?
在詹妮佛的坐标系中,她的

但在我们的坐标系中,

假设在詹妮佛的坐标系中,有一个坐标是
这个向量的坐标是

上面的过程用矩阵相乘来表示,即:

因为矩阵代表的是一种线性变换,所以
因此将詹妮佛坐标系描述的一个向量坐标,转换为我们坐标系描述的坐标,只需要左乘上这个矩阵即可。

相反的,如果把我们坐标系下的一个向量的坐标,转换成詹妮佛坐标系下对应的坐标,应该是一个相反的过程,因此使用对应矩阵的逆。

例如,我们空间中的

乘上相应的逆矩阵即可。




最后再总结一下上面的过程,首先分别定义了两个坐标系——我们的坐标系和詹妮佛的坐标系。
两个坐标系各有一组基向量,从各自的角度看,基向量的坐标都是

逆矩阵则相反

更进一步,考虑一个旋转 90 度的线性变换,我们的基向量

那么在詹妮佛空间中如何表示同样的变换呢?是左乘

答案是否定的,

也就是说,把我们的坐标系旋转 90 度得到了另一个坐标系 b,坐标系 b 下的基向量用我们的坐标系表示的话是
比如詹妮佛坐标系下的坐标为

这三个矩阵的复合运算,所得的结果就是詹妮弗定义的线性变换矩阵。

因此,表达式

其实,矩阵乘积仍然代表着同一个变换,只不过是最初对坐标系的定义不同而已。
8-2:特征向量与特征值
这一部分介绍的是线性代数中非常重要的一个概念——特征向量与特征值。
首先劝退一下直接看着部分内容的同学,你们需要先大致掌握以下部分的知识点,才能更好的理解接下来的内容。正如视频作者所言,我们之所以对特征的东西感到疑惑,更多的是因为下列内容的基础薄弱,而不是 “特征向量” 与“特征值”这个概念本身有多复杂。

前面介绍过,一个矩阵代表一种线性变换,考虑二维空间中的某个线性变换,它将

在这个变换过程中,很多向量都离开了其原本所张成的空间,即所在的直线,但也有一些向量在变换后,仍恰好落在原来的直线上。

如上图所示,基向量

其实,除了

OK,总结一下。在刚才的线性变换中,有两条直线上的向量,在变换后仍在其所处的直线上,只有长度和方向发生了改变。其余向量在变换中或多或少都有些旋转,从而离开了它张成的直线。
经过上面矩阵所代表的线性变换后,两条位置不变的直线上的任意向量,都可以称之为特征向量。每个特征向量都有一个所属的值,称之为 “特征值”,用于衡量特征向量在线性变换中的拉伸或压缩程度。
需要注意的是,如果线性变换后是反向伸缩,那么特征值是负的;

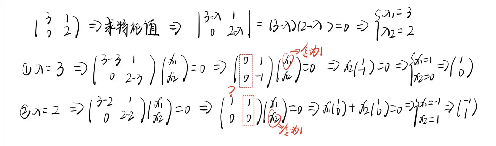
接下来介绍特征值和特征向量的计算方法,这对于我们接下来的概念理解至关重要!
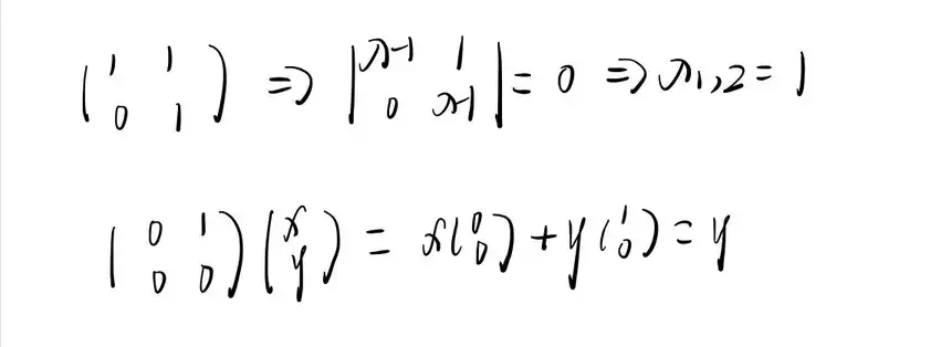
首先根据刚才的介绍,一个矩阵 A 的特征向量,在经过这个矩阵所代表的线性变换之后,没有偏离其所张成的直线,而只是发生了伸缩或方向改变,所以首先可以写出下面的式子。

我们将所有式子移到等式左端后会发现,在规定

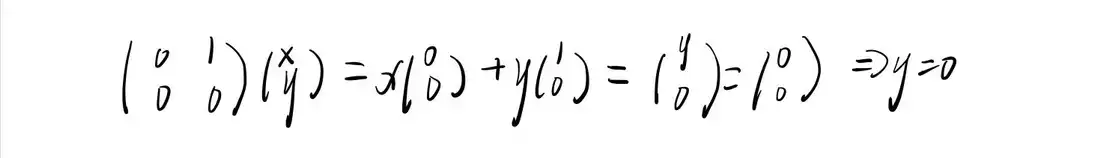
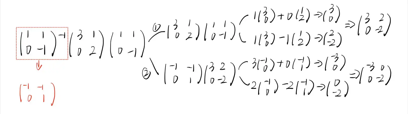
以文章开头提到的矩阵

特征值已经求出来了,那么如何求解对应的特征向量呢?
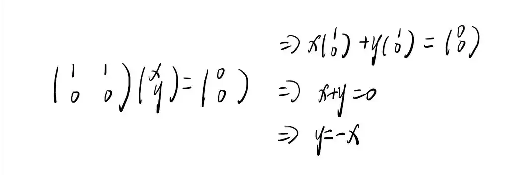
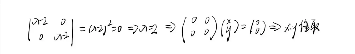
以特征值 2 为例,求解如下的方程组。你会发现,所有的解全部落在由


再回到文章开头提到的一个概念—— 二维线性变换不一定有特征向量。
比如说,下面描述的这个旋转矩阵,它并没有特征向量,因为每一个向量都发生了旋转,并离开了它最初张成的空间。

此时我们运用刚刚介绍的方法去求解其特征向量,你就发现并没有实数解,也就意味着它没有特征向量!

在这里还想提一个非常有意思的矩阵——剪切矩阵


需要注意的是,可能会出现只有一个特征值,但是特征向量不止在一条直线上的情况!
如下面的矩阵将空间中所有的向量都拉伸了两倍,它只有一个特征值 2,但是所有的向量都是其特征向量。


8-3:特征基
最后,我将介绍一下与 “特征基” 有关的概念。
首先思考一个问题——如果我们的基向量都是特征向量,会发生什么?
假如我们的

解读对角矩阵的方法就是,所有的基向量都是特征向量,矩阵的对角元是它们对应的特征值。

对角矩阵有什么优点呢?其中,最重要的一个方面就是,矩阵与自己多次相乘的结果更容易计算,因为对角矩阵仅仅只让基向量与某个特征值相乘。

一般情况下,我们很难直接得到这样的对角矩阵,那我们应该怎么办呢?
如下图所示,假如我们已知的变换对应很多特征向量,多到我们能选出一个可以张成全空间的集合。那么,我们就可以变换我们的坐标系,使得这些特征向量就是我们的基向量。

上面提到了变换坐标系,其实也就是 8-1 中提到的 “基变换”,也就是说我们需要在另一个坐标系中表达当前坐标系所描述的变换。
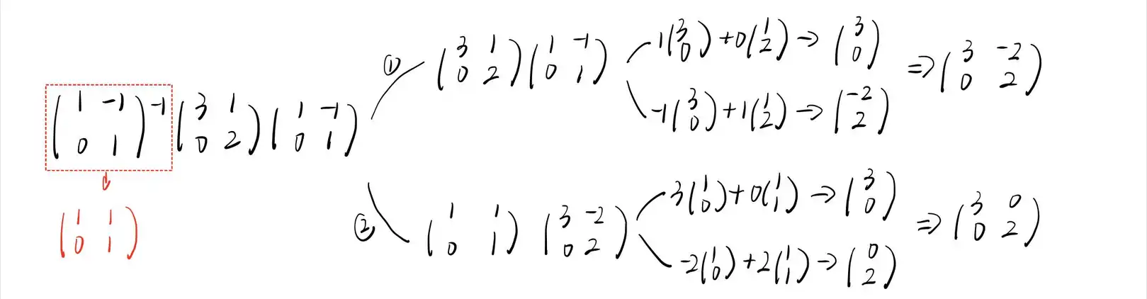
首先给定我们想用作新的基向量的坐标,此处设定为
然后将两个坐标依次作为矩阵的列,构成基变换矩阵

此时,我们所得的矩阵,其实代表的是同一个变换,但是,是用新的基向量所构成的坐标系来定义的。
用特征向量来完成这件事的意义在于,这个新矩阵必定为对角矩阵,且对角元即相应的特征值。这是因为,它所处的坐标系的基向量在变换中只进行了缩放。

从而,也就得到了以下这个定义—— 一组基向量(同样是特征向量)构成的集合被称为一组” 特征基 “。
计算
解
计算特征值和特征向量,得特征基变换矩阵

并求出它的逆
对角化,


特征基下,
回到标准系,得

8-4:矩阵的相似对角化
并非所有矩阵都能对角化,如剪切矩阵(特征向量不能张成全空间)。


充要条件分析
以上述剪切矩阵为例,特征值为 2 重根,但只对应 1 个特征向量,只有 1 个线性无关的特征向量,因此剪切矩阵不能相似对角化!
充分条件分析
剪切矩阵为 2 阶矩阵,但是特征值为 2 重根,因此只有 1 个不同的特征值,因此推不出矩阵可相似对角化!
剪切矩阵并非对称矩阵,故也推不出矩阵可相似对角化!
完结致辞
写于 22-09-30
本篇笔记历时近一月才完成,到今天也就要告一段落了。最开始的计划是准备把克拉默法则一起讲了的,但是克拉默法则并非考研的重点知识,所以我最后决定把这一部分内容删除。
本来打算把合同对角化以及二次型的内容加进来的,但是写着写着就觉得很别扭,感觉和之前的内容完全不在一个知识体系,我无法像串联从前的知识点一样,有机地把它们联系起来。但是我相信,有了前面这一部分内容的铺垫,大家对线代的学习一定会有崭新的认知,再去学习后续的内容也一定会比之前轻松很多。
当然了,二次型这部分其实才是重点考察的地方,这也就意味着,它背后的逻辑分析一定程度上没有应试技巧重要,我们在理解了最基础的那部分内容后,仍然需要通过大量的练习,来巩固之前的知识点,以及学习后续的内容。我也会一直陪着大家努力,继续分享自己的学习笔记和人生观点,让我们都能以最好的姿态走进今年的考场,共同实现彼此的理想!