题23

题目

[!question]+
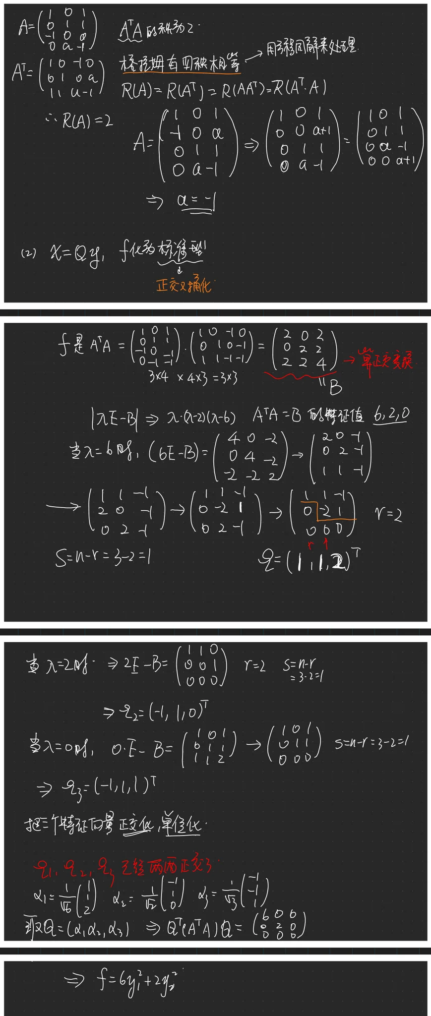
已知 ,二次型 的秩为 2 .
( I ) 求实数 的值;
(II) 求正交变换 化为标准形.

分析

[!NOTE]+
|300

[!done]-
本题第 (I) 问要求 的值。这可以从二次型 非满秩出发来求解,因为 非满秩等价于对应的实对称矩阵 非满秩。

第 (II) 问要求将 化为标准形的正交变换。由于对实对称矩阵来说,将它对角化的正交矩阵的列向量也是它的特征向量,故第 (II) 问实际上是要我们求出 的特征向量。

(解) (I) (法一) 二次型 的秩等于它所对应的实对称矩阵 的秩,于是

下面我们证明

由于 的列数相等,故证明 只需要证明 同解。

满足 ,则 ,即

另一方面,若 满足 ,则 ,即 。由于 当且仅当 ,故 。因此,

我们可以对 作初等行变换,求得 时的 的值。

由此看出,仅当 时,,故

(法二) 由于 ,而 矩阵,故

求得 。因此,由 可得

(II) 由第 (I) 问可得,,从而 的特征多项式为

的特征值为

下面分别计算属于特征值 的特征向量。

时,

经化简得 为该方程组的一个基础解系。

时,

为该方程组的一个基础解系。

时,

为该方程组的一个基础解系。

由于实对称矩阵属于不同特征值的特征向量相互正交,故 相互正交。将 单位化,得

,则 为正交矩阵,且

因此,正交变换 将二次型 变成标准形

注 ① 法一中利用了 ,从而使我们只需要对 作初等行变换就能得到 的值,在计算上比法二要简单. 事实上,这是一个在教材上出现过的结论,见同济大学《线性代数》 (第六版) 第 102 页. 这说明, 掌握并熟练运用教材中出现过的常用结论, 对我们解题是很有帮助的.

② 正交矩阵需满足列向量两两正交,且均为单位向量. 在求得 的特征向量后,虽然这三个特征向量两两正交, 但它们所组成的矩阵不一定是正交矩阵, 因此需要将它们单位化.