题21
题目
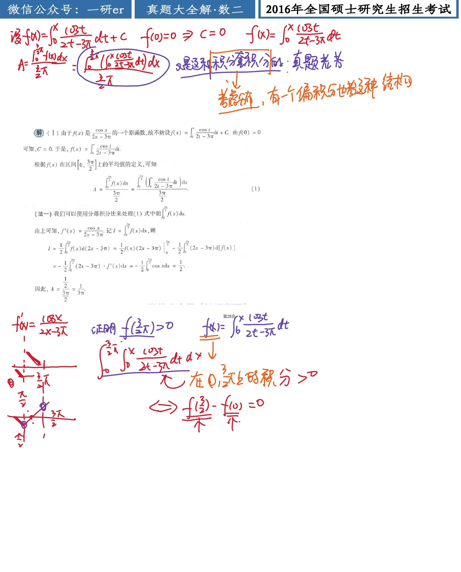
已知函数
( I ) 求
( II ) 证明
分析
这道题的第二问我们要积累一下什么时候可以考虑用积分的区间再现公式?另外就是在何种积分套积分,尤其是,定积分套变限积分来做处理的题目,非常常见,真题考察了很多次
这个题目也是第一次看见直接考察,函数的均值这个点


解
分析 本题综合考查了原函数、函数在区间上的平均值以及积分中值定理等知识.
积分中值定理 若函数
积分中值定理的几何意义 若
函数
要求函数在
第 ( II ) 问是利用导数来分析函数的零点、单调性等性质的综合问题. 由已知条件可知
解 (I) 由于
根据
(法一) 我们可以使用分部积分法来处理 (1) 式中的
由上可知,
因此,
(法二) (1) 式右端分式中的分子为一个二次积分. 由于被积函数是仅关于
该二次积分对应的二重积分的积分区域为
将区域

因此,
(II)
由于
若
下面我们用两种方法来证明
(法一) 由第( I ) 问知,
另一方面,
因此,
(法二) 通过换元对
对第三个积分换元,令
因此,
注 (I) 问中的法一使用了分部积分法, 比较巧妙. 法二用到了交换二次积分的次序. 这个想法也是比较自然的,符合我们简化计算的思想. 一般地,对一个关于