题13

题目

[!error]+
Q:【2014 统考真题】现有一个容量为 10GB 的磁盘分区, 磁盘空间以簇为单位进行分配, 簇的大小为 ,若采用位图法管理该分区的空闲空间,即用一位来标识一个簇是否被分配,则存放该位图所需的簇数为 ( ) 。
A. 80
B. 320
C. 80K
D. 320K

分析

[!NOTE]+
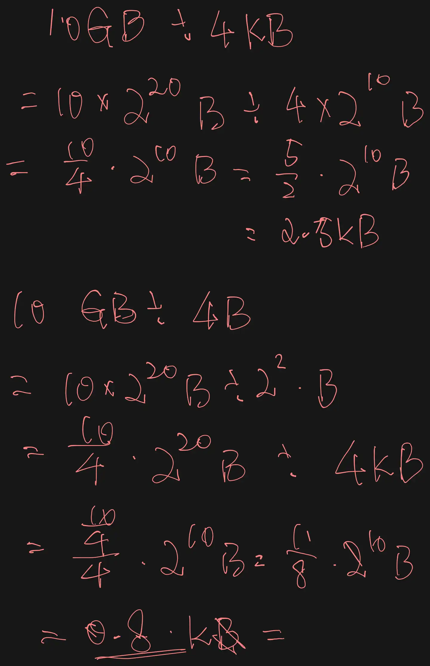
A:需要明确的是,10GB的磁盘可以分为多少个簇,还是给它按照默认的字分配,下面是我的错误做法
|300
问题的关键在于,看整个硬盘可以分成多少个簇,每个簇用一个bit来标记,一共需要多少个bit,再把这些标记的bit信息变成一个表,也就是位图,放进以簇为单位的硬盘里面,看看要多少个簇

[!done]+
A
簇的总数为 ,用一位标识一簇是否被分配,整个磁盘共需要 ,即需要 ,因此共需要 簇。