题6
题目
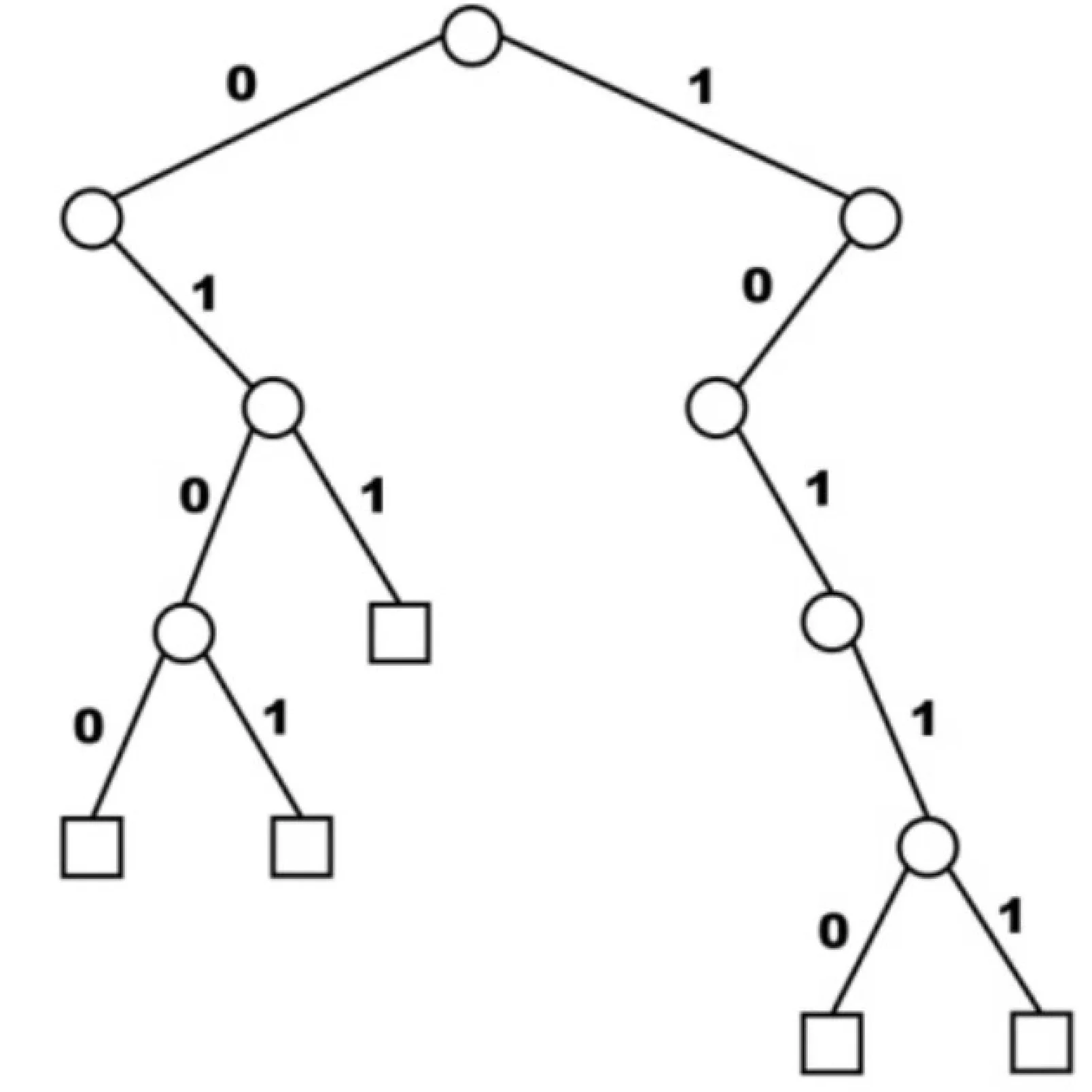
使用CIDR后,为了在路由器的转发表中更加有效地进行查找,可使用转发表中每一个IP地址的(左起)唯一前缀来构造二义线索,在转发表中进行查找时,只要能够和唯一前缀匹配即可,而不用匹配完整的ⅡIP地址。右图所示为某个转发表的二叉线索,则以下地址不在该二叉线索中的是()

A.97.0.0.0
B.155.122.0.0
C.176.2.0.0
D.187.10.0.0
分析
CIDR地址块写出来以后,沿着这个树的01节点走一遍,看看有没有这个地址块
解

Jun 19, 20251 min read
使用CIDR后,为了在路由器的转发表中更加有效地进行查找,可使用转发表中每一个IP地址的(左起)唯一前缀来构造二义线索,在转发表中进行查找时,只要能够和唯一前缀匹配即可,而不用匹配完整的ⅡIP地址。右图所示为某个转发表的二叉线索,则以下地址不在该二叉线索中的是()

A.97.0.0.0
B.155.122.0.0
C.176.2.0.0
D.187.10.0.0
CIDR地址块写出来以后,沿着这个树的01节点走一遍,看看有没有这个地址块
