题18
题目
Q:【2020 统考真题】已知森林 及与之对应的二叉树 ,若 的先根遍历序列是 ,后根遍历序列是 ,则 的后序遍历序列是 ( ).
A.
B.
C.
D.
分析
A:树、森林、二叉树之间的遍历关系如下
| 树 | 森林 | 二 叉 树 |
|---|
| 先根遍历 | 先序遍历 | 先序遍历 |
| 后根遍历 | 中序遍历 | 中序遍历 |
根据题目也就是知道了这个森林所对应的二叉树的,先序遍历序列和中序遍历序列,所以可以唯一确定这个二叉树
然后就可以得到他的后序遍历
### 解
森林 $F$ 的先根遍历序列对应于其二叉树 $T$ 的先序遍历序列,森林 $F$ 的后根遍历序列对应于其二叉树 $T$ 的中序遍历序列。
即 $T$ 的先序遍历序列为 $a,b,c,d,e,f$ ,中序遍历序列为 $b,a,d,f,e,c$ 。
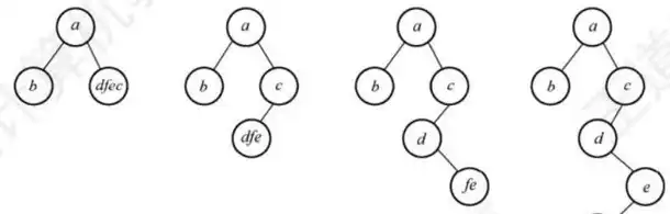
根据二叉树 $T$ 的先序序列和中序序列可以唯一确定它的结构,构造过程如下:

可以得到二叉树 $T$ 的后序序列为 $b,f,e,d,c,a$ 。