题12
题目
具有 51 个顶点和 21 条边的无向图的连通分量最多为 ( ).
A. 33
B. 34
C. 45
D. 32
分析
连通分量是一个极大连通图,子图必须是一个完全无向图
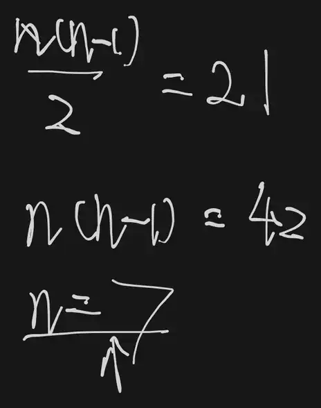
而一个完全无向图的结点如果是n,那么边就有

还剩下了51-7=44个结点,也就是这个一共构成了44个子图,每一个都是连通分量,同时保证了最多
解
C
初始考虑只有 51 个顶点的无向图
若向两个不同的连通分量之间添加边, 则连通分量数目会减 1 , 所以应尽可能地将这 21 条边加入同一个连通分量且让其接近完全图, 含有 7 个顶点的完全图有 21 条边, 所以用 7 个顶点构成一个含有 21 条边的连通分量, 剩下