题21
题目
[!question]+
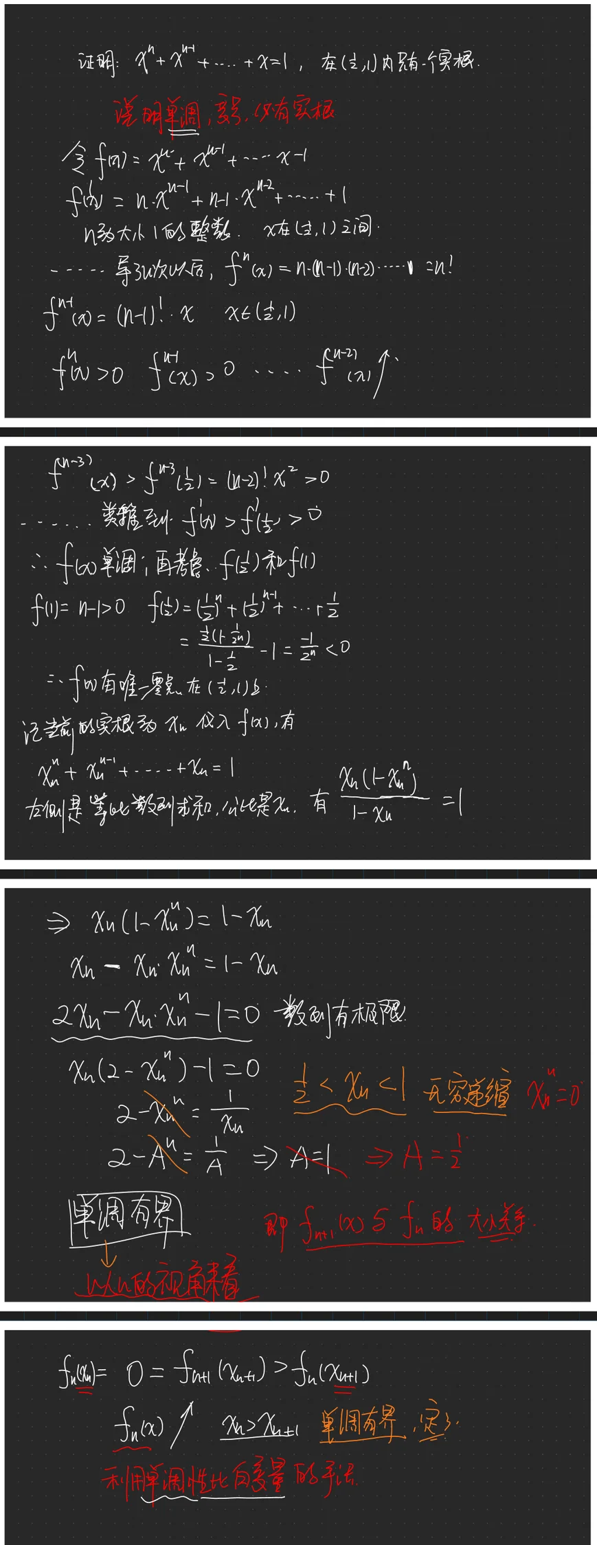
(I) 证明方程
(II) 记 (I) 中的实根为
分析
[!NOTE]+

解
[!done]-
分析 本题的第 (I) 问较常规. 我们可以使用连续函数的零点定理证明方程的实根的存在性. 若能得到方程所对应的多项式在区间端点处的值异号, 则能证明实根的存在. 我们可以利用函数的单调性证明实根的唯一性. 若函数在所考虑的区间上单调, 则在该区间上函数的零点是唯一的.
零点定理 设函数
第 ( II ) 问较抽象一些, 需要我们理清解题的思路. 一般来说, 证明极限存在可使用单调有界准则,所以我们可以尝试证明数列
证 (I) 设函数
由连续函数的零点定理知,存在
又由于当
故
( II ) 我们利用单调有界准则证明
考虑
对于任意的
由于
由第 (I) 问知,对每一个大于 1 的整数
下面求
由于
记
由于对所有大于 2 的整数
令 (1) 式中的
注 在解与极限有关的题中,有一种常见错误,求
直接对该式求极限, 得
解该方程得
这种做法是错误的. 要想对极限进行运算, 首先得保证极限存在, 否则一切的工作都是无意义的.