题11
题目
[!question]+
(11)
分析
[!NOTE]+
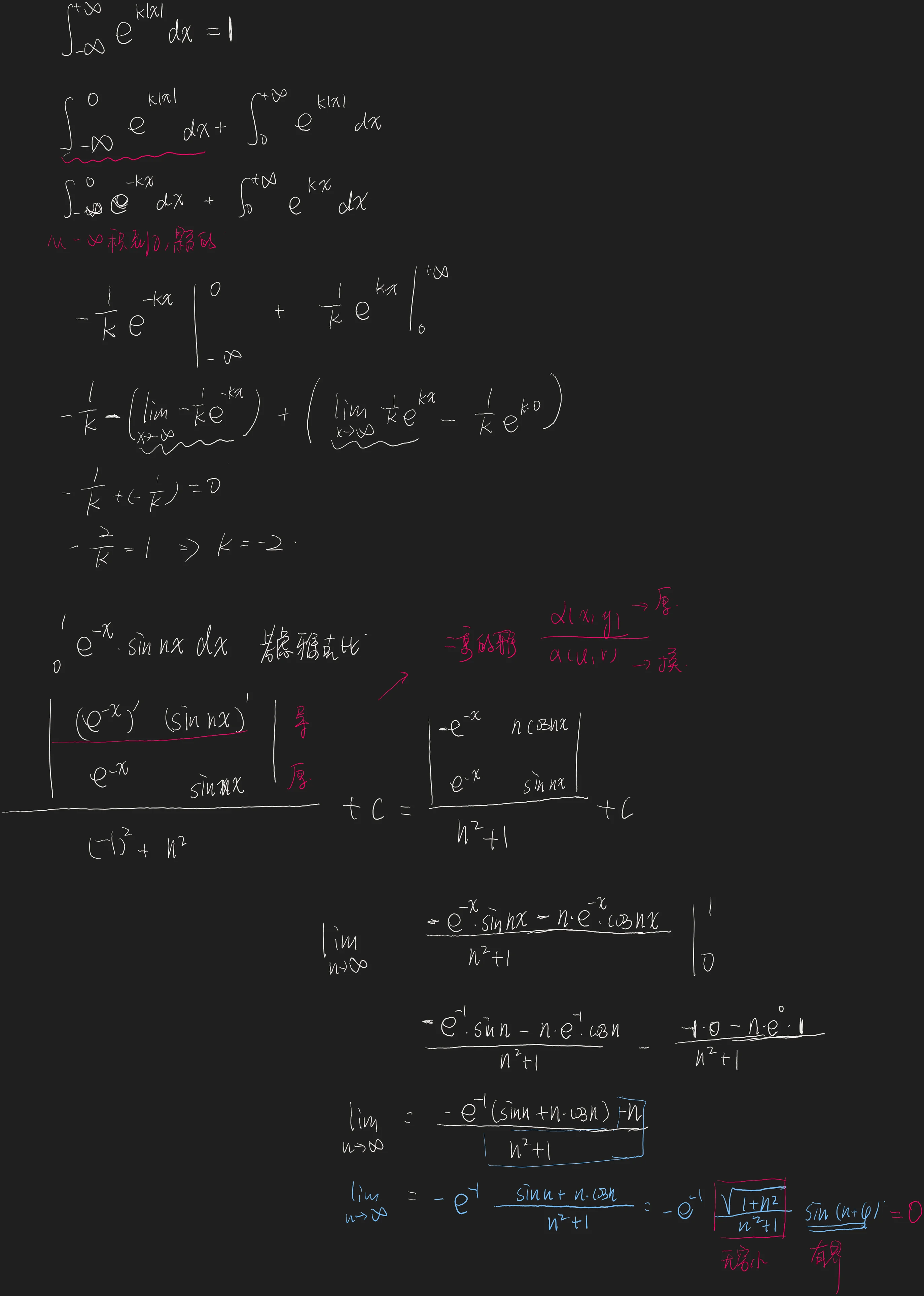
利用雅克比来积exp乘三角的积分,第一行写导,第二行写原函数
解
[!done]-
不要怀疑自己,有三角在里面形成了乘积的极限,大概率就有无穷小乘有界,然后为0

解 (法一) 由分部积分法, 可得
当
因此,
从而
(法二) 记
整理得,
因此,
注 本题的解题关键是使用分部积分法. 法一和法二都使用了分部积分法. 不过法一并没有求出
Jun 19, 20253 min read
[!question]+
(11)
[!NOTE]+
利用雅克比来积exp乘三角的积分,第一行写导,第二行写原函数
[!done]-
不要怀疑自己,有三角在里面形成了乘积的极限,大概率就有无穷小乘有界,然后为0

解 (法一) 由分部积分法, 可得
当
因此,
从而
(法二) 记
整理得,
因此,
注 本题的解题关键是使用分部积分法. 法一和法二都使用了分部积分法. 不过法一并没有求出