题21
题目
[!question]+
设函数
证明: 存在
分析
[!NOTE]+
拉格朗日中值定理的这种待证明结论里面,是“导+变量”形式出现的,考虑它的原函数,把相等问题,变成原函数的导函数的零点问题;原函数的不等式问题,同样也变成了,通过导函数看单调性的问题。这里把这几个题,放在一起看,更加直观:例6.13,例6.4,这里变回原函数有几种手段,一种是我们直接看出来了,还有的可能是要用变限积分来转换

像我上面这种做法,我感觉是非常不严谨的,甚至说可以是错的

解
[!done]-
解此类题,一般可从要证明的结论出发,构造辅助函数.
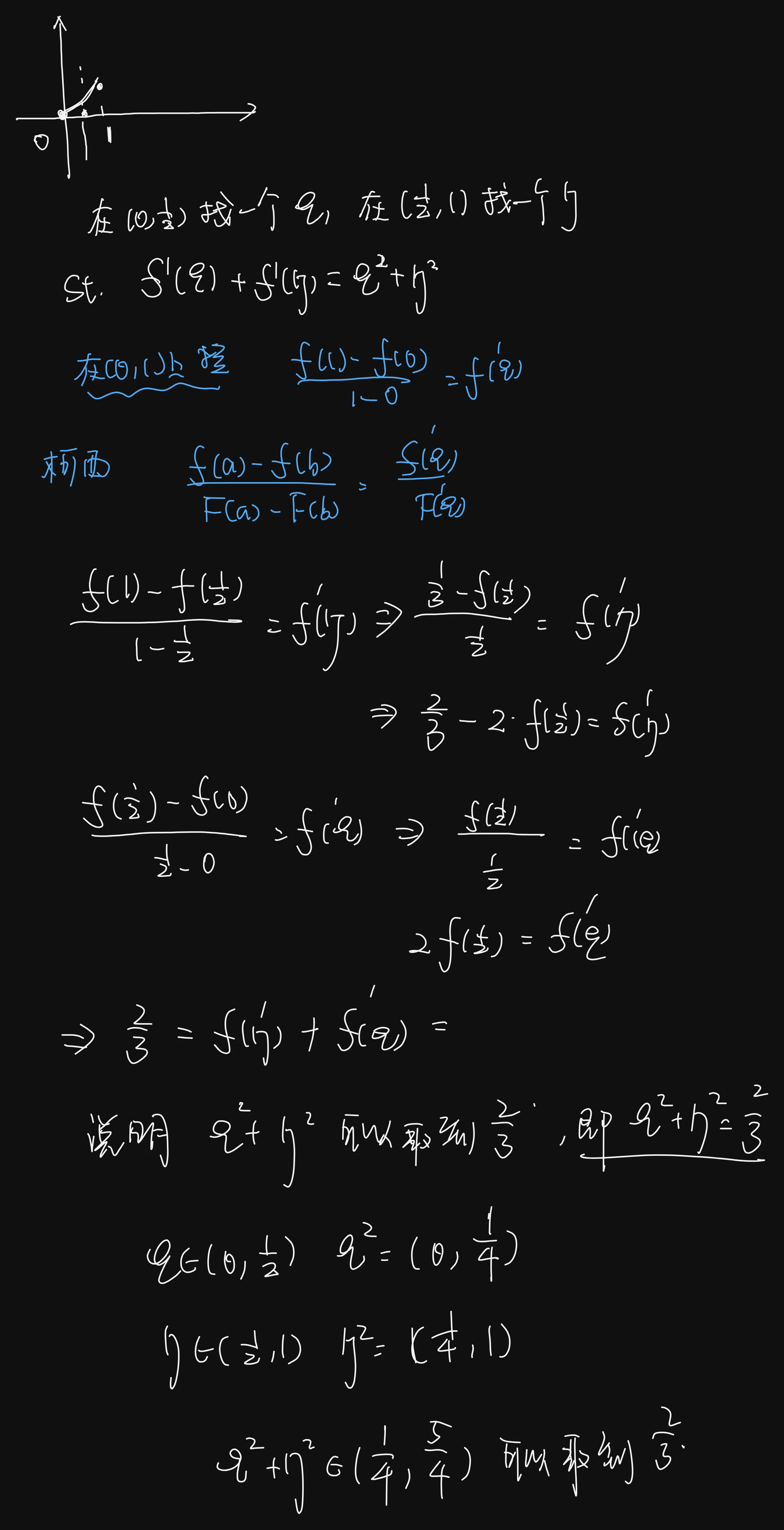
拉格朗日中值定理 若函数
成立.
(证) 构造辅助函数
首先,由题设,有
分别在
由 (1) 式,得
(注) 本题中,
假定
要得到
易由