题42
题目
[!question]+
【2022 统考真题】若结点
I.
II.
III.
IV.
A. 仅 I
B. 仅 III
C. 仅 II、III
D. 仅 II、IV
分析
[!NOTE]+
中序遍历中相邻,因为中序是左根右
左根右左根右
看上面这个字符串组合,两个相邻,要么是兄弟,要么是父子
p在q之前
也就是p是左,q是根
或者p是根,q是右
再或者,p是右,q是左,但是此时两者不是同一颗树,而q这颗树应该更在上面的,也就是高度比较小,p这颗树更深,也就是对应的第四个选项
如果是右兄弟,说明是同级别,也就是说,要到兄弟,必然和根相邻
解
[!done]+
B
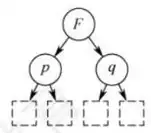
对于此类题,每种情况只需举出一个反例即可。如图 1 所示,
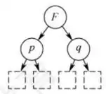
如图 2 所示,
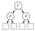
如图 3 所示,

图 1

图 2

图 3

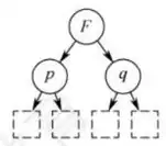
图 4