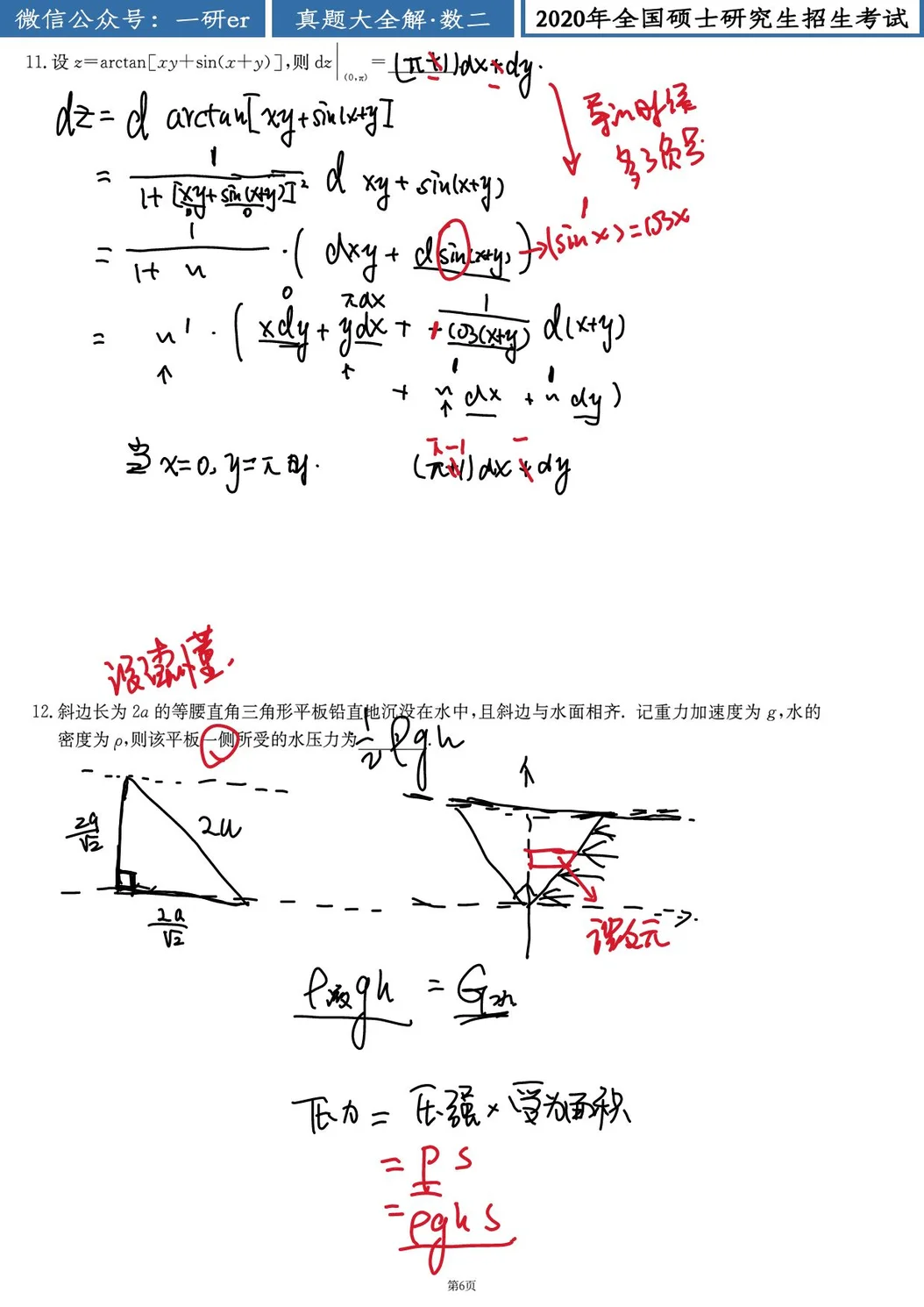
题12
题目
[!question]+
(12) 斜边长为
分析
[!NOTE]+
定积分的物理应用核心在于如何表达这个面积微元

解
[!done]-
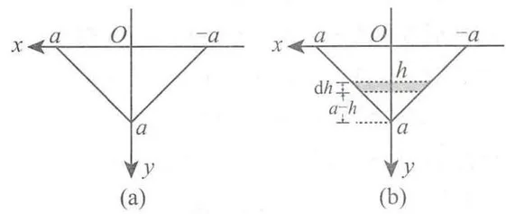
如图 (b) 所示, 将平板所受水压力按照水深分割为如图中带状阴影区域所受力之和. 带状阴影区域近似为矩形区域. 该矩形长为

根据液体压力公式,平板一侧所受的水压力元素
[!question]+
(12) 斜边长为
[!NOTE]+
定积分的物理应用核心在于如何表达这个面积微元

[!done]-
如图 (b) 所示, 将平板所受水压力按照水深分割为如图中带状阴影区域所受力之和. 带状阴影区域近似为矩形区域. 该矩形长为

根据液体压力公式,平板一侧所受的水压力元素