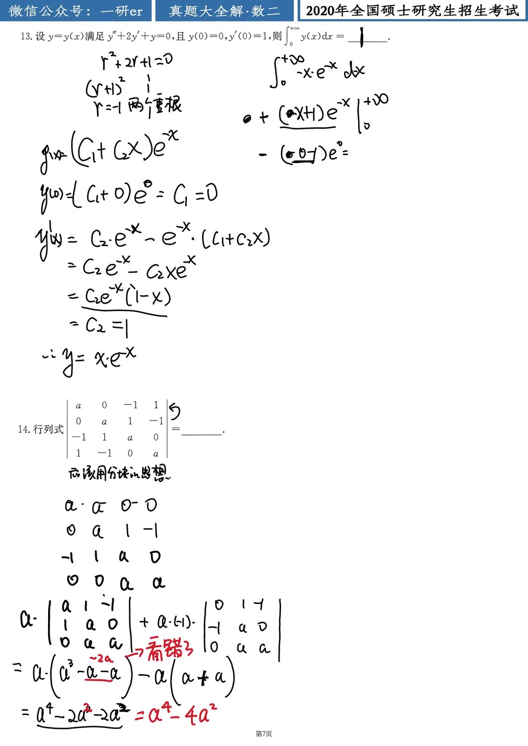
题13
题目
[!question]+
(13) 设
分析
[!NOTE]+

解
[!done]-
分析本题主要考查二阶常系数线性微分方程与反常积分的综合应用。
本题可以根据特征方程先写出微分方程的解,然后计算反常积分。
解
(法一) 由
由
(法二) 由
注 ① 法一的计算量较小。
② 本题与 2016 年数学一第 (16) 题非常相似,并且在 2020 年的数学一试题中,也出现了与本题类似的考题。
【例】设函数
(I) 证明:反常积分
(II) 若
答案 (I) 证明略;(II)
【例】设
答案