题21
题目
下列关于图的说法中, 正确的是 ( ).
I. 有向图中顶点
II. 无向图的邻接矩阵一定是对称矩阵, 有向图的邻接矩阵一定是非对称矩阵
III. 在带权图
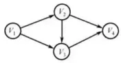
IV. 若有向无环图的拓扑序列唯一, 则可以唯一确定该图
A. I、 II 和 III
B. III 和 IV
C. III
D. IV
分析
有向图的度同时包含了入度和出度,所以1还要加上它对应的列
第四个这个说法,因为存在一种情况,就是有两个节点的入度和出度都是0,这样的话,拓扑序列就不唯一了
对于第二个说话,比如这是一个自环,那么这个对角线上的元素就不是0,或者说,每两个点都互相指向
解
C
有向图邻接矩阵的第
无向图的邻接矩阵一定是对称矩阵, 但当有向图中任意两个顶点之间有边相连, 且是两条方向相反的有向边时, 有向图的邻接矩阵也是一个对称矩阵, II 错。
最小生成树中的
在下图中, 左图的最小生成树如下图所示, 权值为 3 的边不在其最小生成树中。


有向无环图的拓扑序列唯一并不能唯一确定该图。在下图所示的两个有向无环图中, 拓扑序列都为

