题18
题目
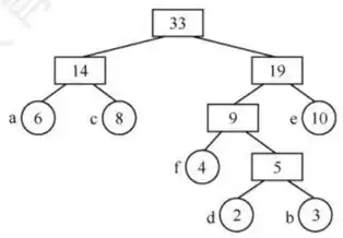
【2018 统考真题】已知字符集 {a, b, c, d, e, f},若各字符出现的次数分别为 6, 3, 8, 2, 10, 4,则对应字符集中各字符的哈夫曼编码可能是( )。
A. 00, 1011, 01, 1010, 11, 100
B. 00, 100, 110, 000, 0010, 01
C. 10, 1011, 11, 0011, 00, 010
D. 0011, 10, 11, 0010, 01, 000
分析
根据各字符出现的次数构造的哈夫曼树如下图所示。
由图可知,

解
A