题8
题目
[!question]+
设
(A)
(B)
(C)
(D)
分析
[!NOTE]+

解
[!done]-
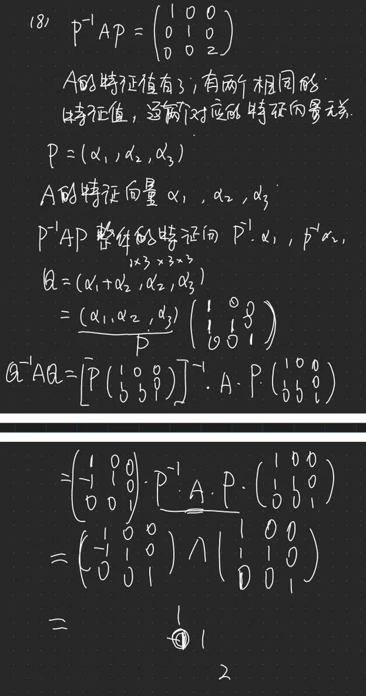
解 (法一) 由题设知,
应选 B.
(法二) 由题设知,
从而
又由于
注 事实上,本题中的
Jun 19, 20254 min read
[!question]+
设
(A)
(B)
(C)
(D)
[!NOTE]+

[!done]-
解 (法一) 由题设知,
应选 B.
(法二) 由题设知,
从而
又由于
注 事实上,本题中的