题14
题目
[!question]+
二次型
分析
[!NOTE]+
可以直接用配方法消去交叉项,剩下的系数为正的项的个数,就是正惯性指数,我对配方法掌握得还不熟练,理解有问题,我之前的直觉是:依次消除,实际上应该是先把所有

解
[!done]-

一般来说, 可以通过求二次型对应的对称矩阵的正特征值的个数来得到二次型的正惯性指数; 若二次型的形式较简单, 也可以用配方法将二次型化为标准形, 从而求得正惯性指数.
解 (法一) 二次型
计算
因此,
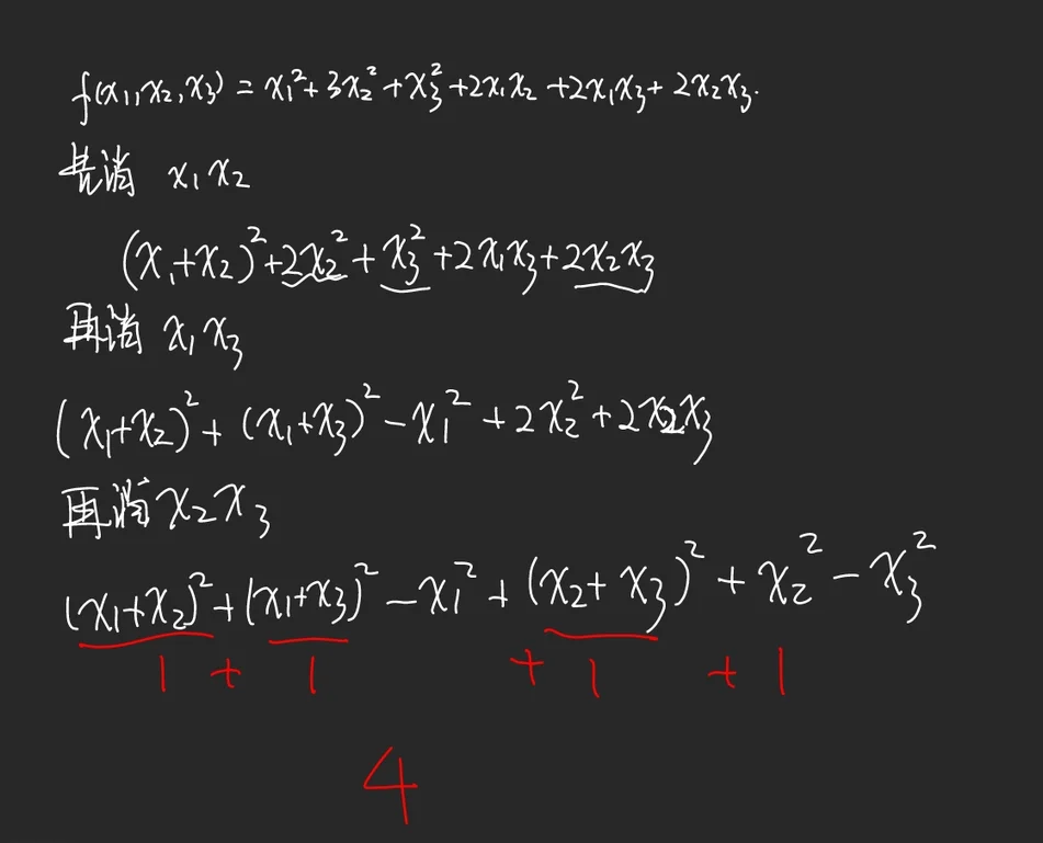
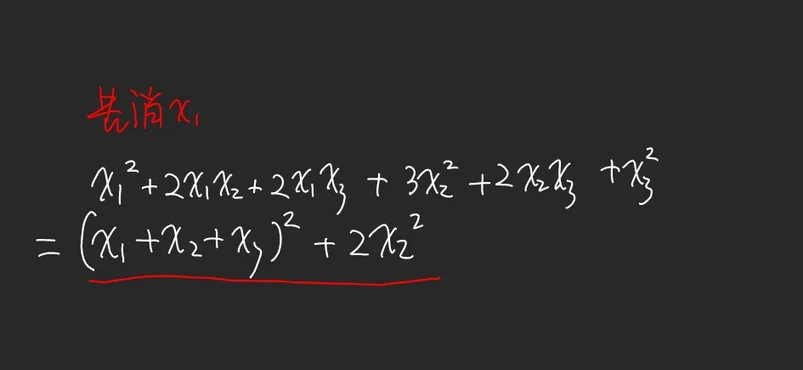
(法二) 配方法.
若对完全平方式
较熟悉,则能够较快地写出
或者如下计算.
因此,