题17

题目

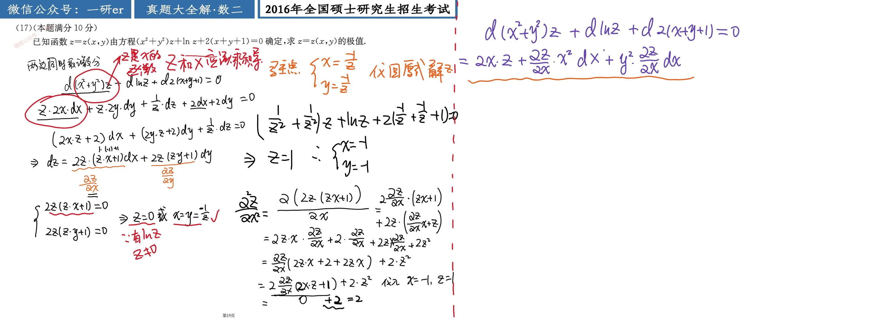
[!question]+
已知函数 由方程 确定,求 的极值.

分析

[!NOTE]+

上面是我做错的过程,一个错误是,算全微分的微分的时候,没有运用的运算法则,第二个错误是,求二阶导的时候,没有搞明白先带后求的前提条件是什么。我们和另一个全微分的真题,再放在一起看看:题13
终于搞明白了全微分形式的不变性这个东西到底怎么用,全微分过程中,的微分应该是怎么算的,但是还有一个问题,什么时候先代后求?

[!done]-
已知二元函数由某方程确定, 从而由该方程可求函数的偏导数, 进而求得函数的驻点, 再计算驻点处的二阶偏导数, 最后利用二元函数极值存在的充分条件来判断驻点处是否存在极值以及驻点的极值点类型.

解 对方程两端分别关于 和关于 求偏导数,得

时, . 同理,当 时, .

代入原方程求 .

化简 (3) 式得 . 通过观察 以及 的图像,可知这两条曲线交于点 . 考虑函数 ,从而 上单调增加, 于是 的唯一解. 因此,驻点坐标为 .

下面计算驻点 处的二阶偏导数.

对 (1) 式两端关于 求导,得

对 (2) 式两端关于 求导,得

对 (1) 式两端关于 求导,得

代入 (4) 式,(5) 式,(6) 式,并注意到 , 可得,

从而, .

因此, . 由二元函数极值存在的充分条件可知,点 是函数 的极大值点,极大值为 1 .

注 ① 由于我们需要求的是驻点处的二阶偏导数, 故在计算隐函数的偏导数时, 并不需要计算得出 以及 的具体表达式,而只需要令 ,代入计算即可.

② 事实上,通过观察易发现,(4) 式和(5) 式中变量 和变量 的地位是一样的. 因此, 利用 (4) 式计算得 后,可直接得 .