题22
题目
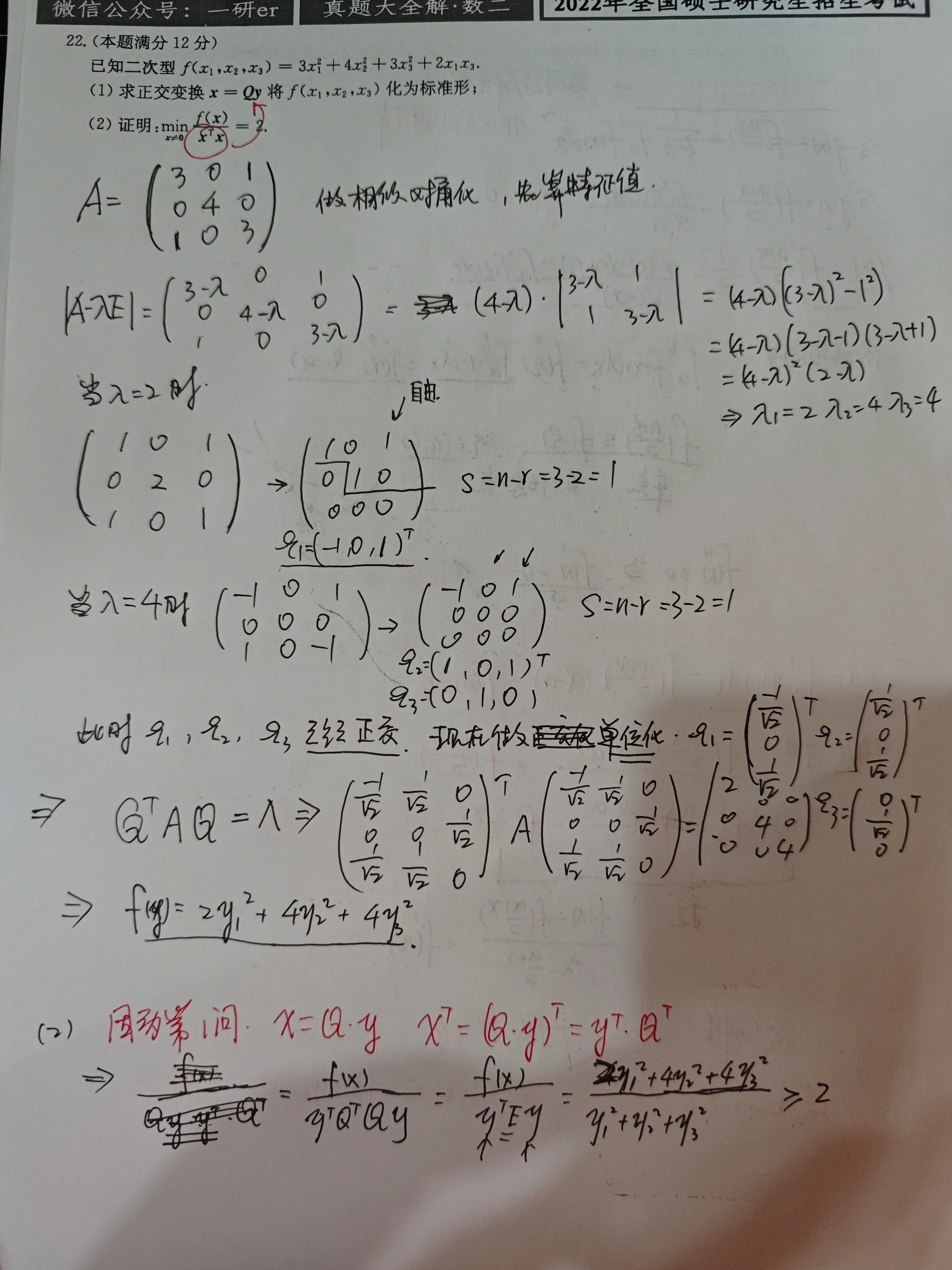
[!question]+
已知二次型
( I ) 求正交变换
( II ) 证明:
分析
[!NOTE]+
例9.6里面我们做过,要注意这里二次型中的

解
[!done]-
第 (I) 问较常规,写出
注意到
即正交变换并不改变向量的长度,故可以利用第 (I) 问所得标准形讨论
解 (I) 由
计算
分别计算
考虑
考虑
由于
令
(II) 由第(I) 问可知,在正交变换
所以对
取
因此,
注 实际上,由第 (II) 问的方法,我们还可以得到
取