题16
题目
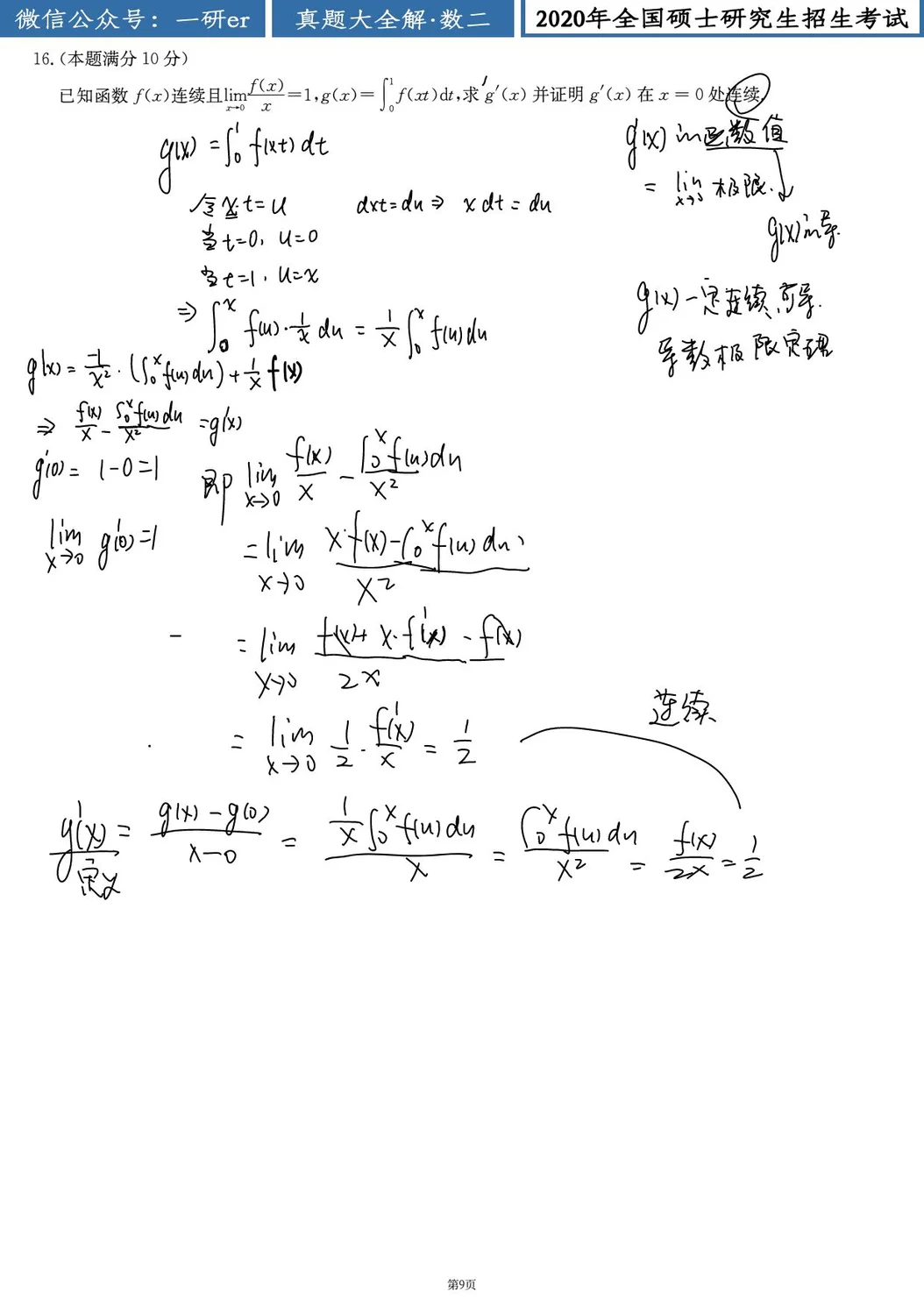
[!question]+
已知函数
分析
[!NOTE]+

解
[!done]-
解本题需要注意区分某点处导数存在与该点处导函数连续。
本题中,
解 对
由
当
当
因此,
计算
由于
注① 本题是一道综合性较强的试题,解题关键为利用换元法将
(I) 计算
(II) 直接对
(III) 不能得到正确的
(IV) 计算
② 本题与1997年数学一、数学二的一道真题几乎一致。大家在复习时一定要重视真题。
【例】设
答案
Jun 19, 20254 min read
[!question]+
已知函数
[!NOTE]+

[!done]-
解本题需要注意区分某点处导数存在与该点处导函数连续。
本题中,
解 对
由
当
当
因此,
计算
由于
注① 本题是一道综合性较强的试题,解题关键为利用换元法将
(I) 计算
(II) 直接对
(III) 不能得到正确的
(IV) 计算
② 本题与1997年数学一、数学二的一道真题几乎一致。大家在复习时一定要重视真题。
【例】设
答案