题45
题目
Q:【2019 统考真题】系统采用二级反馈队列调度算法进行进程调度。
就绪队列
就绪队列
系统优先调度
新创建的进程首先进入
若当前
A.
B.
C.
D.
分析
A:在Q1中居然是串行的,题目说,当
我以为是P1先进去,然后P1的10ms走完了,P2进去,由于P2占用了Q1,导致Q2中的P1是无法启动的,所以我多画了时间段
而且题目问的是平均等待时间,我画的是周转时间

解
C
- 进程
依次创建后进入队列 - 进程
将依次被分配 的 CPU 时间 - 两个进程分别执行完一个时间片后都会被转入队列
- 进程
- 就绪队列
采用短进程优先调度算法 - 此时
还需要 的 时间 还需要 的 时间 - 所以
会被优先调度执行 后进程 执行完成 - 之后
再调度执行 - 再过
后 也执行完成
- 此时
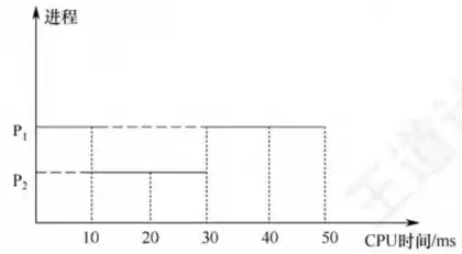
- 运行图表述如下。

进程的等待时间分别为图中的虚横线部分,平均等待时间 的等待时间 的等待时间 ,因此答案选 。