题8
题目
【2023 统考真题】已知有向图 G 采用邻接矩阵存储,类型定义如下:
typedef struct { // 图的类型定义
int numVertices, numEdges; // 图的顶点数和有向边数
char VerticesList[MAXV]; // 顶点表,MAXV 为已定义常量
int Edge[MAXV][MAXV]; // 邻接矩阵
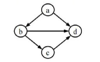
} MGraph;将图中出度大于入度的顶点称为 K 顶点。例如,在下图中,顶点 a 和 b 为 K 顶点。

请设计算法 int printVertices (MGraphG), 对给定的任意非空有向图 G, 输出 G 中所有的K顶点,并返回K顶点的个数。要求:
- 给出算法的基本设计思想。
- 根据设计思想, 采用 C 或 C++ 语言描述算法, 关键之处给出注释。
分析
我们在学拓扑排序的时候,用的一个算法就是找入度为0的顶点,把它们挨个删去,这里是找出度为0的,两者都是要处理有向图的度
如果有向图的邻接矩阵a[i][j]==1,表示有一个由i到j的边,这也就是入度,如果是a[j][i]==1,表示有一个由j到i的边,这就是出度。也就是说,我们如果先遍历行,就可以统计到入度,如果先遍历列,就可以统计到出度,我们再设置一个数组k[i][2],其中k[i][0]是节点i的入度,k[i][1]是节点i的出度,这样就可以统计到所有节点的入度和出度了。
解
int printVertices(MGraph G) {
int k[MAXV][2] = {0}, i, j, count = 0;
for (i = 0; i < G.numVertices; i++) {
for (j = 0; j < G.numVertices; j++) { //内层循环表示先遍历谁
k[i][0] += G.Edge[j][i]; // 统计入度,第i列的所有行,表示从j到i的边,入度
k[i][1] += G.Edge[i][j]; // 统计出度,第i行的所有列,表示从i到j的边,出度
}
}
for (i = 0; i < G.numVertices; i++) {
if (k[i][1] > k[i][0]) {
printf("%c ", G.VerticesList[i]);
count++;
}
}
return count;
}