2024考研408-操作系统第三章-内存管理-学习笔记_408-内存管理重点 2024-08-12 13.19.42.excalidraw
一、内存管理基础
1.1、内存的基础知识

1.1.1、什么是内存?有何作用?
内存可存放数据,程序执行前需要先放到内存中才能被 CPU 处理【缓和 CPU 与硬盘之间的速度矛盾】。
- CPU 执行的程序实际上是存在外存中的,而由于磁盘的读取速度很慢,CPU 速度很快,为了解决这种 CPU 与应硬盘之间的速度矛盾,此时就引入了内存。
问题 1:在多道程序环境下,系统会有多少个程序并发执行,也就是说会有多个程序的数据需要放到内存中,如何区分各个程序的数据是放在什么地方内?
方案:给内存的存储单元编地址。

问题 2:什么叫做存储单元?每一个存储单元存储多少数据?
存储单元:内存中有一个个小房间,其中的每个小房间就是存储单元。
- 如果计算机 “按字节编址”,则每个存储单元大小为 1 字节,即 1B,即 8 个二进制位。
- 如果字长为 16 位的计算机 “按字编址”,每个存储单元大小为 1 个字,每个字大小为 16 个二进制位。
补充知识:几个常用的数量单位

一台手机 / 电脑有 4GB 内存,是什么含义?是指该内存中可以存放 4* 2^30 个字节,如果是按照字节编址的话,也就是有 4 x 2^30 = 2^32 个小房间,需要 32 个二进制位来表示,范围为:0 - 2^32 - 1。
注:有的题目会告诉我们内存的大小,让我们确定地址长度应该是多少,也就是多少个二进制位来表示相应数目的存储单元。
1.1.2、进程运行的基本原理
1.1.2.1、指令的工作原理
实际一条 C 语言指令会经过编译工具编译为三条机器指令:

第一条指令:第一条参数则是指令码表示的是数据传送指令,第二个参数指的是寄存器地址,第三个参数则是主存的地址,这里表示的是将寄存器指定地址中的数据 10 存放到主存中。
第二条指令:第一个参数表示的加法指令,第二个参数指的是寄存器指令,第三个参数是加数,实际上会将存储器中的值 + 1 之后存储到寄存器中,此时指定地址的寄存器值为 11。
第三条指令:第一个参数表示的是和第一条指令一致,实际上就是将寄存器中的 11 传输到主存地址当中去。
小结:实际我们写的代码会翻译成 CPU 能识别的指令,这些指令会告诉 CPU 应该去内存的哪个地址读 / 写数据,这个数据应该做什么处理。在这个例子中,默认让这个进程的相关内容从地址 开始连续存放,指令中的地址给出了变量 x 的实际地址(物理地址)。
1.1.2.2、理解逻辑地址与物理地址
思考:若是这个进程不是从地址 开始存放的,是否会影响指令的正常执行?
实际指令中给出的地址实际是相对地址(逻辑地址),这个地址指的是它相对于这个进程的起始地址而言的地址,有些时候并不是直接从 开始的地址,如下面往地址 79 存储单元写入 10,而实际的程序中初始地址是从 100 开始的,那么在这里这个逻辑地址就需要去根据相对这个程序的初始地址来得到真实的物理地址:

在内存管理当中比较重要的是:如何将指令中的逻辑地址转换为物理地址?
三种策略装入方式解决地址转换:
1、绝对装入
2、可重定位装入(静态重定位)
3、动态运行时装入(动态重定位)
1.1.2.3、从写程序到程序运行
从写程序到程序运行(宏观、全局):

编译:由编译程序将用户源代码编译为若干个目标模块(编译就是将高级语言翻译为机器语言)。
- 目标模块文件,在 C 中就是. 0 文件,此时在这个文件中就已经包含了这些代码所对应的那些指令了。对于这些模块的地址编址都是从 0 开始的。
链接:由链接程序将编译后形成的一组目标模块以及所需库函数链接在一起,形成了一个完整的装入模块。
- 将多个目标模块组装起来形成一个装入模块。windows 中就是. exe 文件,此时装入模块就有一个完整的逻辑地址。
装入:由装入程序将装入模块装入到内存中运行。
1.1.2.4、三种链接方式(静态、转入时动态、运行时动态)
链接包含三种链接方式:
1、静态链接:在程序运行之前,先将各个目标模块及它们所需的库函数链接成一个完整的可执行文件(装入模块),之后不再拆开。

2、转入时动态链接:将个目标模块装入内存时,边装入边链接的链接方式。
- 其中并没有提前链接成一整个大的装入模块,而是在装入内存时链接。完整的逻辑地址是一边装入内存一边形成的。

3、运行时动态链接:在程序执行中只有需要到该目标模块时,才进行链接。

优点:便于修改和更新,便于实现对目标模块的共享,可以提升对内存的利用率。
1.1.2.5、三种装入方式(绝对、静态重定位、动态运行时)
①绝对装入
绝对装入:在编译期间,知道程序放到内存哪个位置情况,将原始指令中的相对地址修改为绝对地址。
- 在编译时,若是知道程序将放到内存哪个位置,编译程序将产生绝对地址的目标代码。装入程序按照装入模块中的地址,将程序和数据装入内存。
注意:最终修改后的绝对地址实际上是直接存储在装入模块(非内存),可执行文件中的(exe)。

评价:绝对装入只适合单道程序环境。
- 若是换一个系统环境,那么原本编译得到的绝对地址那么就极有可能失效。
②静态重定位
静态重定位:又称可重定位装入。编译、链接后的装入模块地址都是从 0 开始的,指令中使用到的地址、数据存放的地址都是相对于起始地址而言的逻辑地址。可根据内存的当前情况,将装入模块装入到内存的适当位置,装入时对地址进行 “重定位”,将逻辑地址变换为物理地址(地址变换是在装入时一次完成的)。

- 可以看到在内存中的地址已经修改为绝对地址了。
时机:修改地址的时机是在装入模块装入到内存中的时候发生。
特点:在一个作业装入内存时,必须分配其要求的全部内存空间,如果没有足够的内存,就不能够装入该作业。
注意:作业一旦进入到内存后,在运行期间就不能够再移动,也不能再申请内存空间。
- 局限性:主要原因是主存当中指令里的地址已经写死了,若是进程在内存中出现移动的话,那么指向地址也会发现错误。
③动态重定位
动态重定位:又称为动态运行时装入。编译、链接后的装入模块地址都是从 0 开始的,装入程序把装入模块装入内存时,并不会立即将逻辑地址转换为物理地址,而是把地址转换推迟到程序真正要执行时才进行。因此装入内存后所有的地址依旧是逻辑地址,这种方式需要一个重定位寄存器的支持。
- 与其他不同的是多加了一个重定位寄存器,用于存放装入模块程序的起始地址。

时机:在真正指令读取执行的时候,当读取到逻辑地址为 79 的时候,会将重定位寄存器中的地址相加,最终得到一个绝对地址。
好处:
1、通过这种方式我们若是在内存中将进程的位置进行移动,也十分简单只需要修改重定位寄存器的值即可。
2、可以将程序分配到不连续的存储区中,在程序运行前只需要只需要装入它的部分代码即可投入运行。
3、在程序运行期间,根据需要动态申请分配内存,便于程序段的共享。
4、可以向用户提供一个比存储空间大得多的地址空间。
知识点回顾与重要考点

1.2、内存管理的概念(4 个功能)
内存空间的分配与回收主要包含四个功能:①内存空间的分配与回收。②内存空间的扩充(实现虚拟性)。③地址转换。④存储保护。
①内存空间的分配与回收
操作系统主要负责内存空间的分配与回收。
②内存空间的扩充(实现虚拟性)
操作系统需要提供某种技术从逻辑上对内存空间进行扩充。【虚拟性把物理上很小的内存拓展为逻辑上很大的内存】

③地址转换
实现地址转换,将程序中的逻辑地址转换为物理地址。
- 为了编程方便,程序员写程序时应该只需要关注指令、数据的逻辑地址,而逻辑地址到物理地址的转换(过程为地址重定位)应该由操作系统负责,这样就保证了程序员写程序时不需要关注物理内存的实际情况。
- 对于转换的过程包含三种装入方式,在之前由提到。

- 第一种是由编译程序实现的,第二种是由装入程序负责的,装入程序也是操作系统的一部分。第三种借助了一个重定位寄存器。
④存储保护(两种方式)
操作系统需要提供内存保护功能,保证各进程在各自存储空间内运行,互不干扰。
- 进程无法随意的访问其他进程中的存储空间,只能够访问自己进程的内存空间。

内存保护采取两种方式:
方式一:在 CPU 中设置一对上、下限寄存器,存放进程的上、下限地址。进程的指令要访问某个地址时,CPU 检查是否越界。只有在这两个地址之间才能够访问。

方式二:采用重定位寄存器(又称为基址寄存器)和界地址寄存器(又称为限长寄存器)进行越界检查。重定位寄存器中存放的是进程的起始物理地址。界地址寄存器中存放的是进程的最大逻辑地址。

- 其中重定位寄存器与之前动态运行装入的一致,这里表示的进程指令的初始地址,界地址寄存器保存着最大的地址范围 179,这里就是 100-279。
流程:比较的逻辑如上图所示,首先看 80 是否 < 179,小于表示是在范围内,接着去用重定位寄存器加上逻辑地址得到最终的存储单元地址。
知识回顾与重要考点

1.3、覆盖与交换(内存管理第二个功能扩充)

1.3.1、覆盖技术(包含案例)
出现的问题:早期的计算机内存很小,如 IBM 推出的第一台 PC 机最大只支持 1MB 大小的内存,因此经常会出现内存大小不够的情况。
解决方案:引入覆盖技术,用来解决程序大小超过物理内存总和的问题。
覆盖技术思想:将程序分为多个段 (多个模块)。常用的段常驻内存,不常用的段需要时调入内存。
内存分布:分为一个 “固定区”和若干个”覆盖区”。
- 需要常驻再内存的段放在 “固定区”,调入后就不再调出(除非运行结束)。
- 不常用的段放在 “覆盖区”,需要用到时调入内存,用不到时调出内存。
实际覆盖技术案例:通过调用结构来进行划分,A 必须执行,此时就需要划定固定区,对于 B、C 同一时间只需要调用一个,那么我们选取最大的一个段也就是 10k,再下一层也是选中最大的 12k 划分到覆盖区 1:

若是程序有一个明显的调用结构,我们可以依据其自身的调用结构,让那些不可能同时被访问的程序段共享同一个覆盖区。
可以看到上面原本 52K 大小的程序实际只需要 30k 的大小就可以顺利运行了。
缺点:对用户不透明,增加了用户编程负担。
- 程序中的调用结构操作系统不知道,所以程序的调用结构需要程序员显性的声明,接着操作系统根据程序员声明的这种调用结构或者说覆盖结构来完成自动覆盖。
实际应用:目前很少使用,一般只用于早期的操作系统。
1.3.2、交换技术(包含核心三个问题)
交换(对换)技术的设计思想:内存空间紧张时,系统将内存中某些进程暂时换出外存,把外存中某些已经剧本运行条件的进程换入内存(进程在内存与磁盘间动态调度)。

处理机调度分为高级调度、中级调度、低级调度,其中中级调度就是为了实现交换技术而使用的一种调度策略。
中级调度:就是为了实现交换技术而使用的一种调度策略,就是说,本来我们的内存当中有很多进程正在并发的运行,如果某一时刻突然发现内存空间紧张的时候,我们就可以把其中的某些进程吧它暂时的换到外存中,进程相关的 PCB 会保存再内存中并且会插入到所谓的挂起队列里,直到之后,内存空间不紧张了,内存空间充足的时候,又可以将这些进程相关的数据再给换入内存。
那么对于中级调度(内存调度),就是要决定将哪个处于挂起状态的进程重新调入内存。
为什么进程的 PCB 会常驻内存呢? 因为进程被换出外存后,必须通过某种方法记录下来进程到底是放在外存的什么位置,这些记录可以记录在 PCB 中,所以 PCB 需要常驻内存。
挂起态(suspend):暂时换出外存等待的进程状态挂起态。- 挂起态组成:分为就绪挂起、阻塞挂起两种状态。当挂起进程时,我们会将部分进程会换到外存中,而对应的 PCB 存储在内存里,PCB 中存储着换到外存的地址。

三个问题:
问题 1:应该在外存(磁盘)的什么位置保存被换出的进程?

解答:具有对换功能的操作系统中,通常把磁盘分为文件区与对换区两个部分。
- 文件区:主要用于存放文件,主要追求存储空间的利用率,因此对文件区空间的管理采用
离散分配方式。 - 对换区:空间只占磁盘空间的小部分,被换出的进程数据就存放在对换区。由于对换的速度直接影响到系统的整体速度,因此对换区空间的管理主要追求换入换出速度,因此对换区采用
连续分配方式。
对换区中的 I/O 速度比文件区的速度更快,进程数据被换出的时候一般放在对换区,换入的时候也是从对换区换回到内存。
问题 2:什么时候应该交换?
时机:交换通常在许多进程运行且内存吃紧时进行,而系统负荷降低就暂停。例如:在发现许多进程运行时经常发生缺页,说明内存紧张,此时可以换出一些进程;如果缺页率明显下降,就可以暂停换出进程。
问题 3:应该换出哪些进程?
1、优先换出阻塞进程。
2、可换出优先级低的进程。
3、为了防止优先级低的进程在被调入内存后很快又换出(出现饥饿的现象),有的系统还会考虑进程在内存的驻留时间…
注意:PCB 会常驻内存,不会被唤出外存。
知识回顾与重要考点

1.4、连续分配管理方式(三种方式,内存管理第一个功能扩充)

连续与非连续的区别:连续分配指的是给用户进程分配的是一个连续的内存空间;非连续分配则是分配的不连续的内存空间。
方式一:单一连续分配
在单一连续分配方式中,内存被分为:系统区和用户区。

系统区:通常位于内存的低地址部分,用户存放操作系统相关数据。用户区:用来存放用户进程相关数据。
内存中只有一道用户程序,用户程序独占整个用户区空间。
- 只有一道用户程序原因:不支持多道程序并发运行,所以用户是独占整个用户区的。
不管这个用户区有多大,例如说一个用户进程,本身只需要下图用户进程 A 这么大的内存空间,那当它放到内存的用户区之后,用户区当中,其他这些空闲的空闲区间也不会分配给其他的用户程序,所以说整个用户程序独占整个用户区的这种存储空间。

优点:实现简单,无外部碎片,可以采用覆盖技术扩充内存。由于同一时刻只有一个用户程序在运行,所以采用这种分配方式的系统不一定需要内存保护。
- 不一定需要内存保护:部分系统也会设置越界检查的一些机制。不过对于早期的个人操作系统如微软的 DOS 系统就没有采用这种内存保护的机制。(因为系统中只运行了一个用户程序,那么及时这个用户程序越界,把操作系统的数据损坏了,这个数据也是可以通过的,重启系统即可)
缺点:①只能用于单用户、单任务的操作系统。②有内部碎片。
- ②内部碎片:指的是分配给某个进程或者程序,内存区间当中有一个部分没有被使用上,这就是所谓的内部碎片。举例:上图中用户区只有一块区间被用户进程 A 所使用,那么对于用户区其他部分空闲,就是所谓的内存碎片,会导致存储器的利用率很低。
方式二:固定分区分配
起因:20 世纪 60 年代出现了支持多道程序的系统,为了能在内存中装入多道程序,且这些程序之间又不会相互干扰,于是将整个用户空间分为若干个固定大小的分区,每个分区中只装入一道作业,此时就形成了最早的、最简单的一种可运行多道程序的内存管理方式。
固定分区分配可分为的分区有相等也有不相等的:

- 右边的左图则是分区大小相等的,右区的右图则是分区大小不等。
①分区大小相等:缺乏灵活性,但是很适用于一台计算机控制多个相同对象的场合。
- 缺乏灵活性说明:例如一些小的进程只需要占用很小的一部分内存空间,但是由于每人每个分区只能装入一道程序,所以很小的进程又会占用比较大、很多与的分区。若是有一个比较大的进程进入,不能分区大小的话,大的进程不能够装入系统或者只能采用覆盖技术在逻辑上扩展各个分区的大小,会增加系统开销。
- 场景:钢铁厂有 n 个相同的炼钢炉,可把内存分为 n 个大小相等的区域存放 n 个炼钢炉控制程序,并且采用并发控制执行。
②分区大小不相等:增加了灵活性,可以满足不同大小的进程需求。
- 如何分配?可以估计下系统当中会出现的大作业、小作业有多少,根据大小作业的比例来进行分配划分。
- 举例划分:如可以划分多个小分区,适量的中等分区,少量的大分区。
问题:操作系统怎么记录内存中各个分区、空闲或者分配的情况?
思路:操作系统实现一个数据结构 - 分区说明表,来实现各个分区的分配与回收,每个表项当中都有一个分区,按照分区大小排列,每个表项包含的内容对应分区的大小、起始地址、状态,如下图所示:

检索的流程:若是用户要装入程序到内存,由操作系统内核程序根据用户程序大小检索该表,从中找到一个能够满足大小的、未分配的分区,将它分配给该程序,然后修改状态为 “已分配”。
优点:实现简单,无外部碎片(后面会提到)。
缺点:
1、若是用户程序太大,可能所有的分区都不能满足需求,此时不得不采用覆盖技术来解决,但会有一些损耗,降低性能。
2、会产生内部碎片,内存利用率低。
- 例如此时一个用户程序需要的内存空间是 10M,此时分区不相等的空间里只有一个 12MB 的满足,那么此时装入后,还会由 2MB 字节空间是没有分配的,那么这部分指的就是内存碎片。
方式三:动态分区分配
认识动态分区分配
动态分区分配:又称为可变分区分配,这种分配方式不会预先划分内存分区,而是在进程装入内存时,根据进程的大小动态地建立分区,并使分区的大小正好适合进程的需要,因此系统分区的大小和数目是可变的。
对于动态分区分配的系统中内存分区大小和数量是可以改变的。
举例:一个内存空间分为系统区和用户区,系统去占 8M 字节,用户区为 56M 字节,刚开始到达用户进程 1 为 20MB,进程 2 为 14MB,进程 3 为 18MB,此时整个内存还剩余 4MB。

四种动态分区分配算法
动态分区分配算法:在动态分区分配中,若是很多个空闲分区都能满足需求时,应该选择哪个分区进行分配?

①首次适应算法
算法思想:每次都从低地址开始查找,找到第一个能满足大小的空闲分区。
如何实现:空闲分区以地址递增的次序排列。每次分配内存时顺序查找空闲分区链(或空闲分区表),找到大小能满足要求的第一个空闲分区。
如下图对应左边的内存空间中的空闲区域我们使用空闲分区表以及空闲分区链来实现:

若是我们要插入一个 15MB 的进程,此时我们直接从第一个空闲位置开始找起,此时第一个空闲区域为 20MB 满足要求,此时我们就直接将该进程插入到该进程中,对应的数据结构中将分区链表的空闲区域值修改(这里目前拿空闲分区链来作示例):

接着我们插入 6MB 的进程,此时依次从链头开始查找,第二个节点 10MB 可以满足,此时就可以插入到第二个空闲空间中,修改链表中第二个节点空间值为 2MB:

②最佳适应算法
算法思想:由于动态分区分配是一种连续分配方式,为各进程分配的空间必须是连续的一整块区域。因此为了保证当 “大进程” 到来时能有连续的大片空间,可以尽可能多地留下大片的空闲区,优先使用更小的空闲区。
实现思路:将空闲分区按照容量递增次序链接,每次分配内存时顺序查找空闲分区链(或空闲分区表),找到大小能满足要求的第一个空闲分区。
- 由于空闲分区是按照容量递增,那么第一个满足的空闲分区实际上也就是大小最小的空闲分区。
效果:能够尽可能多的留下大片的空闲分区。
实际案例:
当前的主存如下图所示:

接着我们来对内存中的空闲区域来进行排序组成一个链表:

此时主存要进入一个 9MB 的进程,我们从排序的链表中依次查询找到满足进程空间的最小区域,也就是 10,接着我们将进程装入内存中。

注意此时我们链表中第二块区域数字修改,此时我们对链表中的区域重新排序:

此时我们又要装入一个 3MB 的进程,同样从链头开始查询找到最小的一块 4MB 空间区域:

缺点:由于每一次选择都是最小,能够满足要求的空闲分区进行分配,那么我们会留下越来越多的,很小的,很难利用的内存块,比如说有好几块 1MB 的空闲字段,而假如之后来的进程又都是 2MB 以上,那么这些碎片难以利用,使用这种算法会产生很多外部碎片。
③最快适应算法
为了解决最佳使用算法的缺点(外部碎片多)于是提出了最坏适应算法。
算法思想:为了解决最佳适应算法的问题(留下太多难以利用的小碎片),可以在每次分配时优先使用最大的连续空闲区,这样分配后剩余的空闲区就不会太小,更方便使用。
实现思路:空闲分区按容量的递减次序链接,每次分配内存时顺序查找空闲分区链(或空闲分区表),找到大小能满足要求的第一个空闲 分区。
实际案例:
按照主存中空闲区域,链表中的区域块从大到小排列:

进来一个进程 5(3MB)此时则会瓜分 20MB 的最大区域空间:

又装入进程 6(9MB)此时又是装入第一个最大的空闲区域 17MB,此时空闲区域还有 8MB:

注意此时链表中节点的大小顺序并不是从大到小递减,此时则会对链表中的节点进行排序:

缺点:每次都选最大的分区进行分配,虽然可以让分配后留下来的空闲区更大,更可用,但是这种方式会导致较大的连续空闲区被迅速用完,如果之后有 “大进程” 到达,就没有内存分区可用了。
④邻近适应算法
算法思想:首次适应算法每次都是从链头开始查找,这可能会导致低地址部分出现很多小的空闲分区,而每次分配查找时,都要经过这些分区,因此增加了查找的开销,如果每次都从上次查找结束的位置开始检索,就能解决上面问题。
实现思路:空闲分区是按照地址递增顺序排列,而不是根据分区大小(可以排成一个循环链表)。每次分配内存时从上次查找结束的位置开始查找空闲分区链(或空闲分区表),找到大小能满足要求的第一个空闲分区。
举例:
对于链表纯粹就是按照地址从低到高的顺序:

若是此时要装入一个进程为 5MB,此时从链表的第一个位置开始查询满足空间的空闲区域,此时定位到第二个节点,将其位置大小改为 1,对于临近适应算法无需对链表排序:

接着主存又要装入一个 5MB 进程,此时从链表中的 1MB 开始往后,此时确认第三个空闲区域可装入,此时空闲区域大小为 5MB:

对比首次适应算法得到临近适应算法优点:若是首次适应算法则需要每次从第一个位置开始查找,而临近适应算法则是从上一次查找结果位置开始往后,邻近适应算法减少了查询次数。
- 最佳适应算法优点:决定了低地址部分有更小的分区可以满足需求时,会更有可能用到低地址部分的小分区,也会有更有可能把高地址部分的大分区保留下来。
缺点:邻近使用算法的规则可能会导致无论低地址、高地址部分的空闲分区都有相同的概率被使用,也就导致了高地址部分的大分区更可能被使用,划分为小分区,最后导致无大分区可用。
知识回顾与重要考点
综合来看,四种算法中,首次适应算法的效果反而更好。

问题 1:系统要用什么样的数据结构记录内存使用的情况?
两种常用的数据结构:空闲分区表、空闲分区链。
空闲分区表:每个空闲分区对应一个表项,表项中包含分区号、分区大小、分区起始地址等信息

空闲分区链:每个分区的起始部分和末尾部分分别设置前向指针和后向指针,起始部分处还可记录分区大小等信息。

问题 2:若是很多个空闲分区都能满足需求时,应该选择哪个分区进行分配?
如下图,若是 14MB 的内存空间从内存中移出,此时低位有一块 14MB 空间,高位有一块 4MB 空间,此时进入一个 4MB 进程,那么会存在哪个位置?

解答:通过采用动态分区分配算法。
动态分区分配算法:把一个新作业装入内存时,须按照一定的动态分区分配算法,从空闲分区表(或空闲分区链)中选出一个分区分配给该作业。
- 这个分配算法对系统性能有很大影响,在下一小节中介绍四种动态分区算法。
问题 3:如何进行分区的分配与回收操作?(实际举例)
解答:可以采用空闲分区表或者空闲分区链的方式都可以。
分配示例
分配举例 1:此时内存的用户区如下图所示分别有 20MB、10MB、4MB 空闲空间,那么此时我们要装载一个进程 5 如何进行分配,以及空闲的分区怎样进行回收?

接着系统采用 “空闲分区表” 数据结构来进行分配:

- 可以看到这张表描述了三段空闲分区。
此时我们通过动态分区分配算法来将 4MB 进程装载到空闲的 20MB 分区中,此时我们看一下空闲分区表做了什么改变?此时只需要修改分区号为 1 的中起始地址即可。

分配举例 2:
若是采用某种分配算法,将进程 5 分配到了最底部,此时空闲分区表的数量 - 1(若是空闲分区链就是把最后的节点删掉):

回收示例
回收举例 1:回收的进程后面有空闲分区
若是回收掉的一个进程与空闲分区相邻,那么我们可以将当前空闲分区进行合并:

回收举例 2:回收的进程前面有空闲分区
与举例 1 一样,此时我们将相邻的一个进程结束,那么同样会进行合并

回收举例 3:回收的进程前后都有空闲分区
要回收的是进程 4:那么此时就会将原先的 1、2 以及新撤出的合并为一条记录

回收举例 4:回收区的前、后都没有相邻的空闲分区
若是回收的进程 2 前后都没有空闲区域,此时空闲回收表中会增加一条记录:

问题 4:外部碎片形成的情况
讨论关于内部碎片、外部碎片的问题:动态分区分配没有内部碎片,但是有外部碎片。
- 内部碎片:分配给某进程的一块内存区域中,如果有些部分没有用上。
- 外部碎片:指的是内存中某些空闲分区由于太小而难以利用。
原本紧凑的内存空间我们通过几次回收、装入之后,此时就构成中间的外部碎片

此时若是我们要装入一个进程 1 为 20MB,是否能够进行装入?

问题 5:剩余的总外部碎片能够满足要进入的进程空间(紧凑技术)
若是剩余的总外部碎片能够满足要进入的进程空间,那么如何应对呢?
- 可以利用,通过紧凑(拼凑)技术来解决外部碎片。如下图,我们通过使用紧凑技术将各个分散的进程移动位置,此时就会空出满足进程 1 进入的空间。

最终移入内存即可!
紧凑技术过程应该是采用动态重定位的方式实现(可以回忆交换技术、换入 / 换出)。
- 实现方式就是:在使用动态重定位的时候,需要将进程的起始地址修改,也就是在对应的 PCB 当中,当进程要上 CPU 运行之前,会把进程的起始地址放到重定位寄存器中。
知识回顾与重要考点(关注有无外部碎片,相邻空闲分区合并)

1.5、非连续分配管理(三种方式,内存管理第一个功能扩充)
1.5.1、基本分页存储管理
1.5.1.1、基本分页存储管理的基本概念
①认识分页存储中的基本概念(页框、页)
什么是分页存储?
页框、页帧:属于主存,将内存空间分为一个个大小相等的分区(比如:每个分区 4KB),每一个分区就是一个 “页框”(页框=页帧=内存块=物理块=物理页面),每个页框有一个编号,也就是 “页框号”(页框号=页帧号=内存块号=物理块号=物理页号),页框号从 0 开始。
- 部分教材将页框叫做页帧、内存块、物理块、物理页面。

页、页面:属于的是进程,将进程的逻辑地址空间也分为与页框大小相等的一个个部分,每个部分称为一个 “页” 或 “页面”。每个页面也有一个编号,叫做 “页号”,页号也是从 0 开始的。
- 实际页面指的是进程在逻辑上被划分的一个一个部分。

要理解名词的差别:
- 页、页面 vs 页框、页帧、物理页【属于进程划分 vs 属于主存划分】
- 页号、页面号 vs 页框号、页帧号、物理页号【属于进程划分的编号 vs 属于主存划分的编号】
操作系统以页框为单位为各个进程分配内存空间。进程的每个页面分别放入到一个页框中,也就是说,进程的页面和内存的页框有一一对应关系。

- 各个页面不必连续存放,可以放到不相邻的各个页框中。
②认识页表
进程的页面与内存的页框是否有一一对应关系,操作系统是怎么记录这种一对一的关系呢?
- 涉及到很重要的数据结构:页表。
页表:为了直到进程的每个页面在内存中存放的位置,操作系统为每个进程都建立一张页表。
页表存储位置:通常都是存在 PCB(进程控制块)中。
页表记录进程页面和实际存放的内存块之间的映射关系:
- 一个进程对应一个页表。
- 进程的每个页面对应一个页表项,每个页表项中由 “
页号”和”块号” 组成。 - 每个页表项的长度相同。

实际答题使用"页框"(Page Frame)术语。
实际问题 1:每个页表项栈内存多大,占几个字节?
示例如下:要求来计算其中的页块号、页号大小以及整个页表的大小

①首先计算块号:
内存块大小 = 页面大小 = 4KB = 212
4GB 总内存大小 = 232
总共主存的块数为 = 232 / 212 = 220
此时想要表示主存块数的序号,那么就需要最少 20 位表示,内存块号的范围为:0 ~ 220 - 1。
由于 1B=8 位,那么 20 位最少要用 3B 空间来表示块号(3 * 8=24bit)。
说明:对于计算机中内存块的数量也就是页表项中块号至少占多少字节是高频重要考点。
②页号的大小呢?如何找到页表中页号为 i 的页表项?
实际由于页表项连续存放,因此页号是可以隐含的,不占存储空间(类比数组中的序号)。
问题:若是给出指定的页号,假设各页表项是从内存地址 X 的地方开始连续存放…,如何找到页号为 i 的页表项呢?
i号页表项的存放地址 = X + 3 * i

页号实际上可以不占空间,可以是隐含的,因为页表项是依次连续存放的。
③对于题目中这个页表占多大的空间?
可以看到页号范围是 0-n 个,块号占用 3B 空间,那么此时 (n + 1) * 3 = 3(n + 1)B。
注意:页表记录中记录的只是内存块号,而不是内存块的起始地址,J号内存块的起始地址=J * 内存块大小。
实际问题 2:如何通过页表来实现逻辑地址到物理地址的转换?
理解逻辑地址的组成
回顾知识:若是进程在内存中连续存放的时候,通过借助指令中的偏移量以及重定位寄存器中的值相加即可得到一个物理地址:

当前是采用分页方式,若是进行分页之后如何实现呢?
特点:虽然进程的各个页面是离散存放的,但是页面内部是连续存放的。
逻辑地址结构如下:分为页号P、页内偏移量W。

若是要访问逻辑地址 A,则需要确认:
①确定逻辑地址 A 的对应 “页号”P。【这个页号是用来查询页表中的页表项中的块号,接下来下面第②步】
②找到 P 号页面(页表中的块号)在内存中的起始地址(需要查页表)
③确认逻辑地址 A 的 “页内偏移量” W。【这个页内偏移量指的是相对真实的主存块号初始地址的偏移量】
最终计算:逻辑地址A的物理地址 = P号页面在内存中的起始地址 + 页内偏移量 W
计算 1:计算出逻辑地址对应的【页号,页内偏移量】
下面是土办法公式计算:
页号 = 逻辑地址 / 页面长度(取除法的整数部分)页内偏移量 = 逻辑地址 % 页面长度(取除法的余数部分)
除法、取模优化(采用移位操作):在计算机内部,地址是用二进制表示的,若是页面大小刚好为 2 的整数幂,则计算机硬件可以很快速的把逻辑地址拆分成(页号、页内偏移量)。
下面是给出逻辑地址位数,页面大小来计算页号、页内偏移量的示例:

我们可以发现一个规律,对于 2k 的页面大小,底部的 k 位正好可以表示页内偏移量,而对于高位的 32-k 位则可以表示页号,这样的话我们仅仅只需要左移、右移操作就可以直接得到页号、页内偏移量,而不是通过除法、取余运算,效率大大提升!!!
计算 2:计算出页面在内存中的存放位置【查页表】
土办法计算页面在内存物理地址:
J号内存块的起始地址 = J * 内存块大小。【J 号内存块指的是根据逻辑地址中的页号来查找页表中的页表项里的块号,此时这个块号就是 J】物理地址 = J号内存块的起始地址 + 页内偏移量。【这个页内偏移量是从逻辑地址中的地位得到的】
示例:下面给出逻辑地址,页面大小,让你计算最终的内存物理地址

优化点:可以看到对于通过块号来计算主存块的一个初始地址,我们土办法采用的是乘法,实际你可以观察到我们可以根据一个主存块的位数从而确定块号后面填几位 0,我们可以使用左移优化!!! 可以大大提升效率。
子问题总结:为什么页面大小要取 2 的整数幂?(移位优化)
前提条件:页面大小采用 2 的整数幂。
①对于通过逻辑地址来得到页号、页内偏移量,土办法是使用除法、取余求得,实际通过观察规律发现,我们可以通过使用移位直接来进行拆分可以确定两个值,而不是使用除法、取余运算!
②对于页表项中的块号求得主存中的主存块的初始地址,土办法是使用乘法运算,实际我们也可以发现,只要直到一个主存块的大小位数,我们直接在主存块号后补多少 0 即可,同样也不需要使用运算器中的运算!
若页面大小不是采用 2 的整数幂,那么我们只能使用土办法计算:

对于页面大小刚好为 2 的整数幂更加详细的可以看下王道的说明:

知识回顾与重要考点

1.5.1.2、基本地址变换机构

重点理解、记忆基本地址变换机构(用于实现逻辑地址到物理地址转换的一组硬件机构)的原理和流程
①认识页表寄存器(PTR,存放页表起始地址与页表长度)
基本地址变换机构可以借助进程的页表将逻辑地址转换为物理地址。
通常会在系统中设置一个页表寄存器(PTR),存放页表在内存中的起始地址 F 和页表长度 M。
进程未执行时,页表的始址 和 页表长度放在进程控制块(PCB)中,当进程被调度时,操作系统内核会把它们放到页表寄存器中。
整个变换过程:此时页表的始址和页表长度已经放在了页表寄存器中了,看下页表寄存器起到的作用如下

- 首先通过逻辑地址来计算得到页号、页内偏移量。
- 接着通过页表寄存器将页表长度 M 与页号 P 作比较,若是页号 P>= 页表长度 M(页号是从 0 开始的,而页表长度至少是 1,因此 P 与 M 也会越界),那么表示是页号越界。
- 根据页表寄存器中的页表始址以及页号来查询得到页表的指定页表项。
- 根据页表项中的内存块号与一开始逻辑地址中的偏移量来得到最终物理地址。
- 使用物理地址来访问目标内存单元即可。
王道给出的详细变换步骤:


注意点:
1、页号 P>= 页表长度 M(页号是从 0 开始的,而页表长度至少是 1,因此 P 与 M 也会越界)。
2、区分页表项长度、页表长度、页面大小的区别。
- 页表项长度:每个页表项占多大的存储空间。
- 页表长度:页表中总共有几个页表项,即总共有多少个页。
- 页面大小:指的是一个页面占多大的存储空间(主存中分为多个页面,这里指的是其中一个页面)。
②实际手动模拟例题:计算物理地址
手动模拟基本地址变换机构确定物理地址:

在分页存储管理(页式管理)的系统中,只要确定了每个页面的大小(指的是一个页的大小能够决定页内偏移的位数),逻辑地址结构也就确定了。因此,页式管理中地址是一维的。即,只要给出一个逻辑地址,系统就可以自动算出页号、页内偏移量两个部分,并不需要显式的高速系统这个逻辑中,页内偏移占多少位。
③对页表项大小进一步探讨(是否要取 2 的幂)
每一个页表项中长度都是相同的,其中页号是隐含的,默认就是连续编号。
例题如下:

此时一个页表项大小为 3B。
实际页表中的页表项会按照顺序连续地放在内存中,如果该页表在内存中存放的起始地址为 x,则 M 号对应的页表项是存放在内存地址为 X + 3* M。
一个页面(主存中的页块)为 4KB,那么一个页框(与页面大小一致)可以存放:4096/3 = 1365 个。
那么一个页框可以存放 1365 个,但是这个页框会剩余 4096%3 = 1 个,此时若是访问 1365 号页表项存放的地址为:X + 3 * 1365 + 1。

- 小结论:若是没有设置 2 的幂,那么就会一个页框就会有空余。
若是一个页表项占 4 字节,则每个页框刚好可以存放 1024 个页表项,对于 1024 号页表项可以直接通过 X + 4 * 1024 得到。

结论:理论上,页表项长度为 3B 即可 表示内存块号的范围,但是为了方便页表的查询(统一直接一个式子查询)常常会让一个页表项占更多的字节(2 的幂),使得每个页面恰好能够装得下整数个页表项。
知识回顾与重要考点

一维:要让 CPU 帮我们找到某一个逻辑地址对应的物理地址,我们只需要告诉 CPU 一个信息,也就是逻辑地址的值,不需要告诉其他任何信息。
本章中实际上是进行了两次访存,之后会提出一种新的地址变换机构是否能用一种别的地址变换机构来减少访问内存的次数,从而加快整个地址变化和访问过程。
1.5.1.3、具有快表的地址变换机构
通过引入快表之后,地址变换的更快。

①什么是快表?
内存:缓和 CPU 与硬盘之间的速度矛盾。
高速缓存:缓和 CPU 与内存之间的速度矛盾。CPU 运算速度比主存快得多。
快表:又称为联想寄存器(TLB,translation lookaside buffer),是一种访问速度比内存快很多的高速缓存(TLB 不是内存!),用来存放最近访问的页表项的副本,可以加速地址变换的速度。与此对应,内存中的页表称为慢表。

②引入快表后,地址的变换过程
快表为什么要比慢表快?下面从硬件和操作系统的角度来描述。
硬件的角度:
思考:能否将整个页表放在 TLB 中?
说明:不太建议,因为快表这种存储硬件造价十分昂贵,在成本相同的情况下,快表存储的内容并没有什么多,并且在一段时间里并不会使用到整个页表中的数据,仅仅只是使用一部分数据。
- 为了兼顾整个系统运行效率,考虑造价所以采用了多级的存储设备。
操作系统的角度:
我们来看一个示例,在下图中是包含有快表以及慢表的结构,其中访问 TLB 只需要 1us,访问内存需要 100us:

假设某进程在执行过程中依次访问 (0, 0)、(0, 4)、(0, 8) 这几个逻辑地址:
首先访问 (0, 0) 这块逻辑地址,先会去检测页表长度是否越界异常,若是没有异常此时则会现在快表中进行查询,若是快表中没有命中,此时会去页表中进行查询,这里能够查询到 0 号页,得到了内存块号,接着我们可以根据内存块号以及页内偏移量得到了最终的物理地址。【实际若是快表命中失败,会进行两次访存,第一次是访问页表、第二次是访问内存】
- 在访问到页表项时,会将这个页表项复制到一份快表中。
此时可以看到在快表中已经存储了一条页号为 0 的页表项:

此时我们去查询逻辑地址为(0,4)的页表项:
同样是先进行查询快表,命中之后,此时得到内存块号即可根据页内偏移量直接去主存中查询对应的物理地址。【一次访存】。
注意:进程上处理机运行时,系统会清空快表的内容,快表是一个专门的硬件,当进程切换的时候,快表的内容也会被清除。
引入快表之后,地址的变换过程:
- CPU 给出逻辑地址,由某个硬件算得页号、页内偏移量,将页号与快表中的所有页号进行比较。
- 如果找到匹配的页号,说明要访问的页表项在快表中有副本,则直接从中取出该页对应的内存块号,再将内存块号与页内偏移量拼接形成物理地址,最后访问该物理地址对应的内存单元。因此,若快表命中,则访问某个逻辑地址仅需一次访存即可。
- 若是没有找到匹配的页号,此时则需要访问内存中的页表,找到对应页表项,得到页面存放的内存块号,再将内存块号与页内偏移量拼接形成物理地址,最后访问该物理地址对应的内存单元。因此,若快表未命中,需要两次访存。
注意:在找到页表项后,应同时将其存入快表,以便后面可能的再次访问。但若快表已满,则必须按照一定的算法对旧的页表项进行替换。
好处:由于查询快表的速度比查询页表的速度快很多,因此只要快表命中,就可以节省很多时间。根据局部性定理,一般来说快表的命中率达到 90% 以上。
③实际快表查询计算案例

解:
方式一(先查快表,不命中后查慢表):(1+100) * 0.9 + (1 + 100 + 100) * 0.1 = 111us。
方式二(部分系统支持快表、慢表同时查询):(1+100) * 0.9 + (100 + 100) * 0.1 = 110.9us。
方式三(未采用快表):100 + 100 = 200us
疑问:对于快表、慢表同时查询。
解释快表与慢表同时查找:
对于先查快表、后查慢表的甘特图如下:

快表查询不到后才会去开始查慢表。
快表与慢表同时查找:

无论快表是否命中,查询快表与慢表是同时发起进行的。
④理解局部性原理(使用快表,性能提升原因)
为什么 TLB 中只存放了页表中的一部分,就可以让系统的效能提升这么多?
局部性原理:

时间局部性原理:如果执行了程序中的某条指令,那么不久后这条指令很有可能再次执行;若是某个数据被访问过,不就之后该数据可能再次被访问。
- 因为上面程序中存在大量的循环,可能访问同一个指令地址,那么将一直被访问的指令存储到快表中,此时就能够提升很高的效率。
空间局部性:一旦程序访问了某个存储单元,在不久之后,其附近的存储单元也很有可能被访问。
- 若是访问某个存储单元,尤其是顺序访问的,很多数据在内存当中连续存放的,那么可以将已访问的及临近的数据放到快表中,那么下次若是访问就可能很快命中。
小结:上节介绍的基本地址变换机构中,每次要访问一个逻辑地址,都需要查询内存中的页表。由于局部性原理,可能连续很多次查询到的都是同一个页表项。
知识回顾与重要考点

TLB 和普通 Cache 的区别:TLB 中只有页表项的副本,而普通 Cache 中可能会有其他各种数据的副本。
1.5.1.4、两级页表

①了解单级页表产生的问题(两个问题)
此时有这样的一个页表:某个计算机按照字节来寻址,支持 32 位的逻辑地址,采用分页存储管理,页面大小为 4KB,页表项长度为 4B。

其中页面大小指的是内存中的一个页块大小,4KB = 212B,因此页内地址(页内偏移量)要用 12 位表示,由于逻辑地址为 32 位,此时页号则使用 20 位表示。
那么在一个主存中用户进程最多有 220 个页面,那么一个页表中最多会有 220 = 1M = 1048576 个页表项,所以一个页表最大需要 220 * 4B = 222B,由于一个页面大小为 4KB,那么页表中共需要 222 / 212 = 1024 = 210 个页框存储该页表。
- 查询页表方法:
K号页对应的页表项存放位置 = 页表始址 + K * 4。要在所有的页表项都在连续存放的基础之上才能使用这种方法找到页表项(需要专门给进程分配 210 = 1024 个连续的页框来存放它的页表)。
思考:由于局部性原理,在大多数情况下,进程在一段时间只需要访问某几个页面就可以正常运行,没有必要让整个页面常驻内存。
此时根据上面的现象我们提出单级页表的问题:
问题 1:页表必须连续存放,但是单机页表一个进程光页表就需要占用连续的 1024 个页框,占用太多内存空间了,也就是很多个连续的页框。
问题 2:进程在一段时间中只需要访问某几个页面就可以正常运行了,没有必要让整个页表都常驻内存。
②问题 1 解决方案(使用一级页表)
问题 1 解决方案:参考进程在内存中必须连续存储的问题,将进程地址空间分页,并为其建立一张页表,记录个页面的存放位置。该思路可以用来解决 “页表必须连续存放问题”,把必须连续存放的页表再分页。
思路:将长长的页表进行分组,使每个内存块刚好放到一个分组中,如上面例子中一个页面大小 4KB,每个页表项则是 4B,那么每个页面可以存放 1K 个页表项,因此每 1K 个连续的页表为一组,每组刚好占一个内存块,再将各组离散地放到内存块中。
根据之前的题目,我们将一个逻辑地址拆分为两部分:20 位页号(范围:12-31),12 位页内地址(范围:0-11)。

梳理下思路,首先一个页表中最多会有 220 = 1M = 1048576 个页表项,一个内存页面是 4KB,而对于一个页表项是 4B,那么一个内存页面就能够存储 1024=210 个页表项,此时我们可以将 1024 个页表项作为一组实际就是一个内存页面表示一组。

由于一个页表中最多会有 220 = 1M = 1048576 个页表项,而一组(一个页面)则分为 1024 个页表,那么此时我们可以分为 1048576 / 1024 = 1024 组。

此时我们可以去维护一个二级页表,为离散分配的页表再建立一张页表,称为页目录表(外层页表、顶层页表),由于我们有 1024 组,那么可以使用 1024 序号来表示相应的组别,与此同时我们的逻辑地址也发生了变化(一个页号拆分为两个部分:一级页号 10 位,二级页号 10 位):
- 408 比较常用的是 ” 页目录表 ” 这个名词。

注意:对于二级页表指向的内存位置应该是二级块号的内存块号,对于单个二级页表的存储容量只是一个内存块号,对于这两个区别一定要清楚!!!
③二级页表如何实现地址变换?
首先给出一个逻辑地址,以此拆分为 1 级页号、二级页号、页内偏移量:

①按照地址结构将逻辑地址拆为三个部分。
②从 PCB 中读出页目录表始址,再根据一级页号查页目录表(一级页表),找到下一级页表在内存中的存放位置:

③得到了二级页表之后,接着我们拿逻辑地址中的二级地址再进行查询这个二级页表,最终确定了要访问的内存块号:

④此时得到最终的物理地址块号为 4,由于一个内存块号为 4B,逻辑地址中的页内偏移量为 1023,此时可以得到最终的物理地址
物理地址 = 4 * 4096 + 1023 = 17407。
④问题 2 解决方案(虚拟存储技术)
问题 2 解决方案:可以在需要访问页面时才把页面调入内存(虚拟存储技术)。可以在页表项中增加一个标志位,用户表示该页面是否已经调入内存。

若是想要访问的页面不在内存总,此时则产生缺页中断(内中断),然后将目标页面从外存调入内存。
⑤2 个注意细节点
细节点 1:若是采用多级页表机制,则各个页表的大小不能超过一个页面。

首先页面大小指的是一个内存块:4KB = 212B,那么页面偏移位数为 12 位。
由于各个页表的大小不能超过一个页面,那么最大一个页表就是一个页表项大小也就是 4KB,又一个页表项为 4B,那么一个页表中有 4KB/4B = 1024 = 210,那么页号就是占据 10 位。
此时我们看下剩余逻辑地址位数:40 - 10 -12 = 18,那么按照常理我们会觉得剩余 18 位就是 1 级页号,不过还是有问题的,注意这个细节点:各个页表的大小不能超过一个页面。
那么我们需要多加一级页表,那么就有 3 级页表,1-3 级分别为:8、10、10。

细节点 2:两级页表的访存次数分析(假设没有快表机构)
对于两级页表分析:①第一次访存(内存中的页目录表,一级页表)。②第二次访存(访问内存的二级页表)。③第三次访存:访问目标内存单元。
单级页表两次访存,两级页表三次访存。
知识回顾与重要考点

1.5.2、基本分段存储管理

1.5.2.1、什么是分段?
进程的地址空间:按照程序自身的逻辑关系划分为若干个段,每个段都有一个段名(在低级语言中,程序员使用段名来编程),每段从 0 开始编址。
- 依据函数来进行分段,一个函数一个段,段名就是函数,每个段的空间可以不相同。
内存分配规则:以段为单位进行分配,每个段在内存中占据连续空间,但各个段之间可以不相邻。

分段系统的逻辑地址结构由段号(段名)和段内地址(段内偏移量)所组成,如:其中 32 位段号占 16 位,段内地址占 16 位

段号的位数:决定了每个进程最多可以分几个段。段内地址位数:决定了每个段的最大长度是多少。
根据上面系统的分段,若系统按照字节寻址,那么一个段号占 16 位,因此在该系统中,每个进程最多由 216=64K 个段,段内地址占 16 位,也就是说每个段的最大长度为 216 = 64KB。

对应的段名会通过编译器翻译为对应的段号,相对应的单元会被翻译为段内地址。
1.5.2.2、什么是段表?
问题:程序分为多个段,各段离散装入内存,为了保证程序能正常运行,就必须能从物理内存中找到各个逻辑段的存放位置,为此需要为每个进程建立一张段映射表,简称 “段表”。
- 页表实际上建立了各个逻辑页面到实际物理页框之间的映射关系。

1、每个段对应一个段表项,集中记录了该段在内存中的起始位置(基址)和段的长度(一个段的实际长度)。
2、各个段表项的长度是相同的。
- 举例:某系统按照字节寻址,采用分段存储管理,逻辑地址结构为(段号 16 位,段内地址 16 位),因此用 16 位即可表示最大段长,若是物理内存大小为 4GB,那么 32 位表示整个物理地址空间(基址)。那么每个段表项的容量为 16+32 = 48 位 = 6B。
- 由于段表项长度相同,因此段号可以是隐含的,不占存储空间。
- 若是段表存放的起始地址(基址)为 M,那么 K 号段对应的段表项存放位置为(在内存中):M + K * 6,这里是找指定的段表在内存中的位置,根据段表号来查询。
1.5.2.3、分段存储管理的地址变换
示例:我们来执行下面一条指令
LOAD 1, [D] <A> // 将分段D中A单元内的值读入寄存器1
经过编译程序编译后,得到等价的机器指令:取出段号为 2,段内地址为 1024 的内存单元内容,放入到寄存器中。

接下来是详细的地址变换流程:

最终会拿着基址和段内地址相加即可得到最终的物理地址。
细节点如下:
①比分页管理多一个检查时在获取到指定的段表找到段表项时,将段内地址与段长来进行比较,若是段内地址 >= 段长。
- 若是段内地址为 1,那么段内长度应该是 2,此时若是为 1 那么就有问题了,当段内地址 (W)>= 段长 © 则会引发中断。
②分段中每个段长度不同,分页里每个页长度相同。在分页管理中,无需对页内偏移量做一个越界的检查。
1.5.2.4、分段、分页对比(6 点)
1、页是信息的物理单位。分页的主要目的是实现离散分配,提高内存利用率。分页仅仅是系统管理上的需要,完全是系统行为,对用户不可见。
2、段是信息的逻辑单位。分段的主要目的是为了更好地满足用户需求。一个段通常包含着一组属于一个逻辑模块的信息。跟段是对用户可见的,用户编程时需要显式的给出段名。
- 用户是知道程序会被分段,甚至知道自己分为了几个段,每个段的段名是多少。
3、页的大小固定且由系统决定;段的长度却不固定,由用户编写的程序确定。
4、根据地址角度来说:
①分页的用户进程地址空间是一维的,程序员只需给出一个记忆符即可表示一个地址。

- 可以使用一个记忆符 A 来表示某个页面中某一个内存单元。
②分段的用户进程地址空间是二维的,程序员在标识一个地址时,既要给出段名,也要给出段内地址。

参考:为什么分页机制中逻辑地址空间是一维的,而分段机制中逻辑地址空间是二维的?、分页存储的地址空间是一维的,分段存储的地址空间是二维的
- 逻辑地址空间如果采用分页机制,那么第 0 页的最后一个地址和第 1 页的第一个地址在数值上是连续的。因此分页机制的逻辑地址空间是一维的。
- 采用分段机制,那么这段程序就会被编译程序编译成多个段,比如数据段、代码段、附加段等,每个段的段号是编译器自动分配的,每个段的长度不定(一般最长 64k)。如下图所示。从下图中我们可以看到,由于每个段的长度不一,因此虽然数据段、代码段的段号是连续的,但是数据段的最后一个地址和代码段的第一个地址是不连续,因此分段机制中的地址不是一维的,而是二维的。
5、分段比分页更容易实现信息的共享与保护。
问题 1:共享与保护,如何实现共享使用段呢?
多个进程指向的段号只要有同样的段表项即可,两个段表项指向相同的位置。

问题 2:为什么分页中不太能够实现信息的共享?
分页由于一个页框是固定大小的,可能会出现一个页中包含多个段的内容,若是像段一样让某个页表项指向这个页面,那么显得不太合理,其中有一部分是不允许被共享的。

我们看下对应段表与分页的表:

可以看到若是我们想要一个函数能够都被某个进程访问,由于我们是根据页来进行分长度的,每个页相同容量,此时就可能一个分页里有一部分函数 A 和另一个部分函数 B:

这也是导致分页很难实现共享保护的问题。
6、不能被修改的代码称为 “纯代码” 和 “可重入代码(不属于临界资源)“,这样的代码是可共享的。
- 对于可修改的代码是不能共享的(比如,有一个代码段中有很多变量,个进程并发的同时访问可能造成数据不一致)。
7、分段与分页两种方式种,访问逻辑地址需要几次访存?
分页(单级页表):第一次访存是查内存中的页表,第二次访存是访问目标内内存单元。总共两次访存。
分段:第一次访存是查内存中的段表,第二次访存访问目标内存单元。总共两次访存。
与分页系统类似,分段系统中也可以引入快表机构,将近期访问的段表项放入到快表中,这样可以少一次访问,加快地址变换速度。
知识回顾与重要考点

1.5.3、段页式管理方式

1.5.3.1、分页、分段的优缺点分析

段式管理与动态分区分配很类似:

通过多次的装入以及撤销,就会产生外部碎片,此时若是有一个很大的进程想要装入就会放不下此时就需要采用紧凑技术来进行段整理,只不过需要付出较大的时间代价。
1.5.3.2、段页式管理方式(分段 + 分页 = 段页式管理)

一个进程对应一个段表,但是一个进程可能会对应多个页表
1.5.3.2、段页式管理的逻辑地址结构

其中的页号、页内偏移量是由段内地址进行拆分的。
不同的区域决定的含义:
- 段号的位数:决定了每个进程最多可以分成几个段。
- 页号位数:决定了每个段最大有多少页。
- 页内偏移量:决定了页面大小、内存块大小是多少。
在上面例子中,若是系统按照字节寻址:
- 段号占 16 位,在系统中每个进程都有 216 = 64K 个段。
- 页号占 4 位,那么每个段最多由 24 = 16 页。
- 页内偏移量占 12 位:每个页面 / 每个内存块大小为 212 = 4096 = 4KB。
“分段” 是对用户可见的,程序员在编程时需要显式的给出段号、段内地址,其中将各段 “分页” 对用户是不可见的,系统会根据段内地址自动划分页号和页内偏移量(对于这两个部分用户是不可见的)。
因此段页式管理的地址结构是二维的。(页式管理是一维的,段式管理是二维的,段页式管理也是二维的)
1.5.3.4、认识段表、页表
对于一个进程与段、页的关系,一个进程会分为多个段,每个段由一个段表表示,每个段可能会有多个页表组成,接着根据页表中的内存块号来进行定位实际的物理地址:

上面的 0 号段为 7KB,那么由于一个页为 4KB,此时会分为两个页面(这两个页面依次对应页表当中的页表项)。

每个段对应一个段表项,每个段表项由段号、页表长度、页表存放块号(页表起始地址)组成,每个段长度相等,段号是隐含的。
每个页面对应一个页表项,每个页表项由页号、页面存放的内存块号组成。每个页表项长度相等,页号是隐含的。
1.5.3.5、段页式逻辑地址转换过程

简写实际流程:
1、根据逻辑地址得到段号、页号、页内偏移量。
2、将段号和段表长度进行比对,检查段号是否越界,若是越界发出中断,没有越界继续向下执行。
3、根据段号以及段表寄存器中的段表始址来找到指定段表在内存中的位置,接着根据段表项得到页表存放块号。
4、根据页表块号,根据页表存放块号来找到指定的页表的页表项,最后根据页表项中的内存块号以及页内偏移量 W 来确定最终的物理地址进行访存。
5、访问目标内存单元。
访存次数:第一次访存(段表项),第二次访存(页表项),第三次访存(访问物理地址)。
若是引入快表后,那么使用段号、页号作为查询快表的关键字,快表仅仅需要依次访存。
知识回顾与重要考点

重要点:
- 用户只需要在编程的时候给出段号和段内地址,之后会由系统自动的把段内地址拆分为页号与页内偏移量 (拆结束后的两个用户透明,对于段内地址本身就是用户给出的)。
- 段页式管理中的段表与段式管理中的段表不太一样,在段页式管理中的段表由段号、段长、页表存放地址组成,而段式管理中的段表则是由段号、段长、段的起始地址。
二、虚拟内存管理(内存管理第二个功能扩充)
2.1、虚拟内存的基本概念
实际也是实现内存扩充的一种技术,比交换技术、覆盖技术要更先进一点。

2.1.1、传统存储管理方式的特征、缺点
对于传统的存储管理有几个特征:
特征一:一次性
作业必须一次性全部装入内存后才能开始运行,这会造成两个问题:
①作业很大时,不能全部装入内存,导致大作业无法运行。
- 例如一个游戏需要使用 60G,而你的内存只有 4GB,使用传统的存储管理是无法运行的。
②当大量作业要求运行时,由于内存无法容纳所有作业,因此只有少量作业能运行,导致多道程序并发度降低。
特征二:驻留性
一旦作业被装入内存,就会一直驻留在内存中,直至作业运行结束。事实上,在一个时间段内,只需要访问作业的一小部分数据即可正常运行,这就导致了内存中会驻留大量的、暂时用不到的数据,浪费了宝贵的内存资源。
- 例如:你玩 GTA 游戏,当一个场景 A 运行完成之后,此时会进入场景 B,对于目前场景 A 不会再运行,此时这一块程序内存依旧会会驻留在内存中,一直到整个游戏结束。
对于上面所说的一次性、驻留性都可用虚拟存储技术解决问题!!!
2.1.2、局部性原理

实际举例:
时间局部性:由于 while 循环这几条指令被访问到了,那么可能下一次循环依旧会使用到这些指令,那么这些指令实际上可以存放到高速缓存中,下次再访问就能够命中。空间局部性:数组是连续存放的,那么访问了 a[i],那么可能下一次会访问 a[i + 1] 或者 a[i - 1],临近的数据页可能会被访问到,此时对于临近的数据也可以存放到高速缓冲中,提高命中率。
2.1.3、虚拟内存的定义与特征

虚拟内存定义:基于局部性原理,在程序装入时,可以将程序中很快会用到的部分装入内存,暂时用不到的部分留在外存,就可以让程序开始执行。
- 在程序执行过程中,当所访问到的信息不在内存时,由操作系统负责将所需信息从外存调入内存,然后继续执行程序。
- 若内存空间不够,由操作系统负责将内存中暂时用不到的信息换出到外存。
在操作系统的管理下,在用户看来似乎有一个比实际内存大得多的内存,就是虚拟内存。
特征:
- 多次性:无需在作业运行时一次性全部装入内存,而是允许被分成多次调入内存。
- 对换性:在作业运行时无需一直常驻内存,而是允许在作业运行过程中,将作业换入、换出。
- 虚拟性:从逻辑上扩充了内存的容量,使用户看到的内存容量,远大于实际的容量。
2.1.4、如何实现虚拟内存技术?
虚拟内存技术:运行一个作业多次调入内存,对于采用连续分配方式,会不方便实现。因此虚拟内存的实现都需要建立在离散分配的内存管理方式基础上。
- 为何说采用连续分配方式不方便?若是采用连续分配的话,那么每一次给作业分配的内存空间都需要保证是连续的,这个实现起来不方便。
基于之前学习的传统的离散存储管理方式,如基本分页、基本分段、基本段页式,这些都是在存储管理方式的基础之上。

基于这种传统的非连续分配存储管理之上,实现了虚拟内存的管理方式:

对于这些 “请求”xxx 存储管理方式与传统的非连续分配存储管理区别如下:
- 在程序执行过程中,当所访问的信息不在内存时,由操作系统负责将所需信息从外存调入内存,然后继续执行程序。【访问信息不存在,外存 → 内存】
- 若内存空间不够,由操作系统负责将内存中暂时用不到的信息换出到外存。【空间不够,内存 → 外存】
虚拟内存中增加了两个功能分别对应上面访问信息不存在、空间不够:
- 对于访问信息不存在情况:操作系统要提供请求调页(或请求调段)功能。
- 对于空间不够情况:操作系统提供页面置换(或段置换)功能。
对于请求调页则是属于【请求分页存储管理功能】。
对于请求调段、段置换则是【请求分段存储管理功能】。
知识点回顾与重要考点

2.2、请求分页管理方式
请求分页存储管理与基本分页存储管理的主要区别:
- 在程序执行过程中,当访问的信息不在内存时,由操作系统负责所需信息从外存调入内存,然后继续执行程序。【操作系统提供请求调页功能,将缺失页面从外存调入内存】
- 若内存空间不够,由操作系统负责将内存中暂时用不着的信息换出到外存。【操作系统要提供页面置换的功能,将暂时用不到的页面换出外存】

2.2.1、页表机制(请求分页管理页表)
与基本分页管理相比,请求分页管理中,为了实现【“请求调页”】,操作系统需要知道每个页面是否已经调入内存;如果没有调入,那么也需要知道该页面在外存中存放的位置。
当内存空间不够时,要实现【“页面置换”】,操作系统需要通过某些指标来决定到底换出哪个页面;有的页面没有修改过,就不用浪费时间写回外存。有的页面修改过,就需要将外存中的旧数据覆盖。因此,操作系统也需要记录各个页面是否被修改过信息。
基本分页管理的页表:

请求分页管理的页表也被称为:请求页表。
相对比页表结构多增加了四个字段:状态位、访问字段、修改位、外存地址。

2.2.2、访问逻辑地址时内存有无空闲块情况
假设此时要访问的逻辑地址(页号,页内偏移量)= (0,1024)

首先访问 0 号页面,由于页表中页号为 0 的页表项状态位为 0,即表示当前要访问的页面不在内存,此时会发生一个缺页中断,接着由操作系统的之后操作系统的缺页中断处理程序会负责处理这个中断,此时由于中断处理过程需要进行 I/O 操作,会把页面从外存调入到内存。
- 对于等待 I/O 操作完成过程,发生缺页这个进程应该被阻塞放入到阻塞队列当中,只有调页完成之后才会将它唤醒,重新放回阻塞队列。
情况 1:若是内存中有空闲块,则为进程分配一个空闲块,将所缺页面装入该块,并修改页表中相应的页表项(页号为 0 的内存块号、状态位):

情况 2:若是内存块中没有空闲块,如下图中的内存条中已经没有了空闲 a 内存块了,此时页面置换算法会选择一个页面淘汰,此时选中页号为 2 淘汰。
- 依旧假设此时要访问的逻辑地址 =(页号,页内偏移量)= (0,1024)。

可以看到页号为 2 的修改位为 1,表示该页面在内存期间被修改过(可以看到),则需要写回外存【若是为 0,那么就无需修改写回外存】,将外存中的数据给覆盖掉,如下图:

接着将对应的内存 C 号块写入到页号为 0 的位置,修改状态位为 1;并且将页号为 2 的记录信息清空:

此时就完成了逻辑地址的访问过程(缺页过程从外存调入内存的过程)。
2.2.3、缺页中断机构
为了实现请求调页功能,需要引入缺页中断机构!
缺页中断:当前执行的指令想要访问的目标页面未调入内存而产生的,属于内中断(故障)。
- 原因是一条指令想要访问某一个逻辑地址,系统又发现,这个逻辑地址对应的页面还没有调入内存,因此才发生了缺页中断。由于它是和当前执行的指令有关,所以是属于内中断中的故障。

一条指令在执行期间,可能会发生多次缺页中断。(如:copy A to B,即将逻辑地址 A 中的数据复制到逻辑地址 B,而 A、B 属于不同的页面,则有可能产生两次中断)。
注意:只有引入了缺页中断机构,系统才能实现请求调页这样的事情。
2.2.4、地址变换机构
请求分页存储管理与基本分页存储管理的主要区别:

新增的步骤如下:
1、请求调页:插到页表项时进行判断。
2、页面置换:需要调入页面,但是没有空闲内存块时进行。
3、需要修改请求页表中新增的表项。

关于快表中的数据说明:若是快表中有的一定是在内存中有的,若是页面被换出外存,快表中的相应表项也要删除。
发生时机:调页发生在页不在内存时,置换是在内存不满的情况。
相应的流程图如下说明:

补充细节:
①只有 “写指令” 才需要修改 “修改位”。并且,一般来说只需修改快表中的数据,只有要将快表项删除时才需要写回内存中的慢表,这样可以减少访存次数。
②和普通的中断处理一样,缺页中断依然需要保留 CPU 现场。
③需要用某种 “页面置换算法” 来决定一个换出页面。
④换入 / 换出页面都需要启动慢速的 I/O 操作,可见,如果换入 / 换出太频繁,会有很大的开销。
⑤页面调入内存后,需要修改慢表,同时也需要将表项复制到快表中。
知识回顾与重要考点

2.3、页面置换算法
使用页面置换算法起因
起因:若是内存空间不够,那么会将内存暂时用不到的信息换出到外存,对于选择哪个页面则是通过【页面置换算法】实现的。
目标:好的页面置换算法应该是追求更少的缺页率。

2.3.1、最佳置换算法(OPT)
最佳置换算法(OPT,Optimal):每次选择淘汰的页面将会使以后用不适用,或者在最长时间不再被访问的页面,这样可以保证最低的缺页率。
思路:从当前要访问的页面往后来看,选择一个最远访问的且已经在内存块中的。
实际举例:当访问页面为 2 时,内存没有空间此时会执行最佳置换算法,最近访问的内存块为 1、0、7,我们可以从访问的 2 页面后来去查看,可以看到最长时间没有访问的是 7,优先会先访问到 0、1,此时就会选择将内存块 1 中的 7 给置换掉。

- 对于调页实际上会通过缺页中断发起的。
- 对于页面置换之后,发起缺页中断时发生内存空间不足才会进行页面置换。
整个过程中缺页中断发生了 9 次,页面置换发生了 6 次。
- 缺页中断指的是每次访问页面时没有命中的情况就会产生缺页中断。
- 页面置换则是进行缺页中断时,若是发现当前内存空间不够则会发生的。
缺页率 = 缺页中断次数 / 总次数 = 9 / 20 = 45%。
总结:最佳置换算法可以保证最低的缺页率,但实际上,只有进程执行的过程中才能知道接下来访问的是哪个页面。操作系统无法提前预判页面访问序列。因此,最佳置换算法是无法实现的。
2.3.2、先进先出置换算法(FIFO)
先进先出置换算法(FIFO):每次选择淘汰的页面时最早进入内存的页面。
实现方式:将调入内存的页面根据调入的先后顺序排成一个队列,需要换出页面时选择队头页面即可。一个队列的最大长度取决于系统为进程分配了多少内存块。
举例:我们的内存块有三块,那么队列中最大长度则为 3 块,当我们访问第四个页面的时候,此时内存块满了就会发生置换算法,此时我们的队列顺序为 1→2→3,队头的元素为 3,那么此时我们会现将内存块 1 中的 3 给置换为当前访问的页面 0。

分配三个内存块缺页次数:9 次。

分配四个内存块缺页次数:10 次。
当分配四个内存块时缺页的次数反而是比分配三个内存块的缺页次数更多这种现象:成为 Belady 异常,当为进程分配的物理块数增大时
结论:只有 FIFO 算法会产生 Belady 异常,另外,FIFO 算法虽然实现简单,但是该算法与进程实际运行时的规律不适应,因为先进入的页面也有可能经常被访问,因此算法性能差 。
缺陷:对于先进先出这种规则并没有考虑到进程实际运行时候的一些规律,不太科学。
2.3.3、最近最久未使用置换算法(LRU)
最近最久未使用置换算法(LRU,least recently used):每次淘汰的页面时最近最久未使用的页面。
实现方法:赋予每个页面对应的页表项中,用访问字段记录该页面自上次被访问以来所经历的时间 t。当需要淘汰一个页面时,选择现有页面中 t 值最大的,即最近最久未使用的页面。
举例:当访问页面 3 的时候,手算方式则是我们将处于内存块中的所有页面拿到,接着来看当前访问页面 3 之前访问的一个最久未被访问的页面也就是 7,最终将处于内存块 3 中的页面 7 给置换为我们访问的页面 3。

优劣:该算法的实现需要专门的硬件支持,虽然算法性能好,但是实现困难,开销大。
评论:性能最接近最佳置换算法的。
2.3.4、时钟置换算法(CLOCK,两种)
引由:最佳置换算法性能最好,但无法实现;先进先出算法实现简单,但是算法性能差;最近最久未使用置换算法性能好最接近 OPT 算法,但是实现起来需要使用专门的硬件支持,算法开销大;
时钟置换算法:是一种性能和开销较为均衡的算法,又称 CLOCK 算法或最近未用算法(NRU,Not Recently Used)。
** 为什么称为最近未用算法?** 会为每个页设置一个访问位,访问位为 1 的时候表示最近访问过,设置为 0 表示没有用过。
下面介绍两种时钟置换算法:简单的 CLOCK 算法实现方式、改进型的时钟置换算法。
①简单的 CLOCK 算法实现方式(包含实现思路、实际案例,一个访问位)
实现思路:
①为每个页面设置一个访问位,再将内存中的页面都通过链接指针链接成一个循环队列。
②当某页被访问时,其访问位置为 1。
③当需要淘汰一个页面时,只需要检查页的访问位,如果是 0,就选择将该页换出;如果是 1,那么将它置为 0,暂不换,继续检查下一个页面。
④若是第一轮扫描中所有页面都是 1,则将这些页面访问位都置为 0 后,再进行第二抡扫描(第二轮扫描中一定会有访问位为 0 的页面)

选择一个淘汰页面扫描次数:最多会经过两轮扫描。
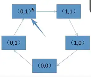
实际案例:假设系统为某进程分配了五个内存块,并考虑到有以下页面号引用串 1,3,4,2,5,6,3,4,7
首先访问 1、3、4、2、5,由于都是第一次访问,此时每个页为 1,指针会指向 1 号页:

此时要访问 6 号页面,由于此时内存块已满 5 个页,那么会进行选择淘汰一个页面,从循环队列的队首开始扫描找到访问位为 0 的页面,由于初始值都是为 1,那么经过一轮扫描过后,此时访问位都置为 1,重新回到了 1 号页:


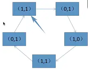
接着此时开始第二轮扫描,由于 1 号页的访问位为 0,此时会将 1 号页置换出去,替换为 6 号页并设置访问位为 1,此时指针指向了 3 号页:

由于 3 号页的访问位为 0,此时就会直接将 3 号页置为 1:

接着开始访问 4 号页,由于 4 号页同样访问位为 0,那么此时会设置为 1:

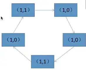
最后访问页面 7,接着指针会指向 2 号页,由于 2 号页的访问位为 0,此时会将 2 号页置换为 7:

至此所有的访问页面情况都已结束。
简单时钟置换算法评价:简单的时钟置换算法仅考虑到一个页面是否被访问过,事实上,如果被淘汰的页面没有被修改过,就不需要执行 I/O 操作写回外存,只有被淘汰的页面被修改过,才会需要写回外存。
- 因此,除了考虑一个页面最近有没有被访问过之外,操作系统还应该考虑页面有没有被修改过,在其他的条件都相同时,应优先淘汰没有修改过的页面,避免 I/O 操作。这就是改进型的时钟置换算法的思想。
- 修改位 = 0,表示页面没有被修改过;修改位 = 1,表示页面被修改过。
②改进型的时钟置换算法(访问位 + 修改位)
在使用了一个访问位基础上增加了一个修改位,使用(访问位,修改位)的形式表示个页面状态。
算法规则:
- 第一轮:从当前位置开始扫描第一个(0,0)的帧用于替换,本轮扫描不修改任何标志位。【第一优先级:最近没访问且没修改的页面】
- 第二轮:若第一轮扫描失败,则重新扫描,查找第一个(0,1)的帧用于替换。本轮将所有扫描过的帧访问位设为 1。【第二优先级:最近没访问但修改过的页面】
- 第三轮:若第二轮扫描失败,则重新扫描,查找第一个(0,0)的帧用于替换。本轮扫描不修改任何标志位。【第三优先级:最近访问过但没修改过的页面】
- 第四轮:若第三轮扫描失败,则重新扫描,查找第一个(0,1)的帧用于替换。【第四优先级:最近访问过且修改过的页面】
注意:由于第二轮已将所有帧的访问位设为 0,因此经过第三轮、第四轮扫描一定会有一个帧被选中,因此改进型 CLOCK 置换算法选择一个淘汰页面最多会进行四轮扫描。
选择一个淘汰页面扫描次数:最多会经过四轮扫描。
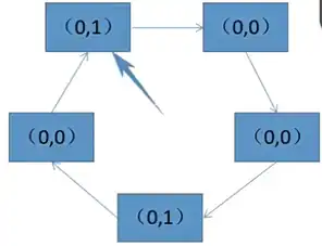
实际案例(四种情况):
首选初始化五个页面的(访问位,修改位),此时初始的指针指向(0,1),我们来看一看各种不同的情况。
情况 1:通过第一轮扫描找到访问页进行置换

首先指针指向为(0,1),经过三次扫描可以直接在第一轮中找到(0,0)的页并对其进行替换。

情况二: 会在第二轮中找到要淘汰的页

首先进入第一轮,尝试找到第一个(0,0)的页面,由于五个页面都没有找到此时重新回到第一个指针指向的位置:

此时进入第二轮寻找(此时每寻找一次就会将访问位置为 0),寻找第一个 (0,1) 页面,经过两次扫描,找到了该替换的页面:

情况三:在第三轮中扫描找到淘汰页

第一轮开始扫描 (0,0) 对应的页面,没有找到。
第二轮开始扫描 (0,1) 的页面,这一轮每扫描一个访问位就会设置为 0,依旧没有找到 (0,1) 的页面,此时通过第二轮扫描所有页的访问位都置为了 0。

第三轮扫描,寻找 (0,0) 的页面,经过两次扫描找到了 (0,0) 的页面,并将其进行置换。

情况四:在第四轮扫描过程中确定了淘汰页面

第一轮、第二轮扫描都没有找到,此时指针依旧指向第一个页面,其中经过第二轮扫描会将每一个位的访问位设置为 0:

第三轮寻找的是 (0,0) 的页面,由于在所有页面中都没有找到,此时扫描一轮后重新又回到了 (0,1) 页面。
第四轮开始扫描寻找 (0,1) 页面,在一次扫描后即可找到淘汰的页面:

知识点回顾与重要考点

2.4、页面分配策略

2.4.1、页面分配、置换策略(了解驻留集)
驻留集:指请求分页存储管理中给进程分配的物理块的集合。
- 在采用了虚拟存储技术的系统中,驻留集大小一般小于进程的总大小。
多种情况:
- 若是驻留集太小,会导致缺页频繁,系统要花大量时间来处理缺页,实际用于进程推进的时间很少。
- 为何说明缺页频繁?对于极端情况,若某个进程共有 100 个页面,则该进程的驻留集大小为 100 时,进程可以全部放入内存,运行期间不可能再发生缺页。但是若是驻留集大小为 1,那么进程运行期间肯定会使用其他进程数据,那么必然会导致及其频繁地缺页。
- 若是驻留集太大,会导致多道程序并发度下降,资源利用率降低,所以应该选择一个合适的驻留集大小。
- 为何导致多道程序并发下降?你想若是一个进程驻留集很大,那么内存有限,在内存中的进程肯定并不会很多,那么进程不多肯定就会导致多道程序并发下降。
此时人们就这分配页面多少,选择一个合适的驻留级大小以及驻留集大小是否可变提出了两种分配策略:固定分配、可变分配。
固定分配:操作系统为每个进程分配一组固定数目的物理块,在进程运行期间不再改变。即,驻留集大小不变。可变分配:先为每个进程分配一定数目的物理块,在进程运行期间,可根据情况做适当的增加或减少。即,驻留集大小可变。
当页面置换的时候,置换的范围应该是什么,此时人们又提出了两个置换范围的策略:局部置换和全局置换。
局部置换:发生缺页时只能选进程自己的物理块进行置换。全局置换:可以将操作系统保留的空闲物理块分配给缺页进程,也可以将别的进程持有的物理块置换到外存,再分配给缺页进程。
这两个置换的区别在于:置换的页面是否只能是自己的。
2.4.3、页面分配与置换策略(三种搭配)
对于分配与置换的策略搭配方案如下:

并不会出现固定分配、全局置换的策略。
- 不存在原因?若是使用全局置换的就意味着一个进程,所拥有的物理块是必然会改变的,而固定分配又规定着进程的驻留及大小不变,也就是这进程所拥有的物理块数是不能改变的。
搭配一:固定分配 + 局部置换
搭配思路:
- 分配:系统为每个进程分配一定数量的物理块,在整个运行期间都不改变。
- 缺页置换:若是进程在运行中发生了缺页,则只能从该进程在内存中的页面里选出一页换出,然后再调入需要的页面。
缺点:很难再刚开始就确定每个进程需要分配多少物理块才合理。
- 一般采用这种策略的系统可以根据进程大小、优先级或者根据程序员给出的参数来确定一个进程分配的内存块数。
评价:灵活性比较低
搭配二:可变分配 + 全局置换
搭配思路:
- 分配:刚开始会为每个进程分配一定数量的物理块,操作系统会保持一个空闲物理块队列。
- 缺页配置:当某进程发生缺页时,会从空闲物理块中取出一块分配给改进程;若是无空闲物理块,则可选择一个未锁定的页面换出外存,再将该物理块分配给缺页的进程。
- 未锁定页面指的是什么?系统会锁定一些很重要的不允许被换出外存,需要常驻内存的页面,例如系统当中某些很重要的内核数据,就有可能是被锁定的。
问题:采用这种策略,只要某进程发生缺页,都能够获得新的物理块,仅当空闲物理块用完时,系统才选择一个未锁定的页面调出,被选择调出的页可能是系统中任何一个进程中的页,那么这个被选中的进程拥有的物理块会减少,缺页率会增加。
评价:只要进程发生了缺页就给它分配一个新的物理块,这种方式是不太合理的。
搭配三:可变分配 + 局部置换
搭配思路:
- 分配:刚开始为每个进程分配一定数量的物理块。
- 缺页置换:当某进程发生缺页时,只允许从该进程自己的物理块中选出一个进行换出外存;如果进程在运行中频繁的缺页,系统会为该进程多分配几个物理块,直至该进程缺页率趋势适当程度。反之,如果进程在运行中缺页率特别低,那么可适当减少分配给改进程的物理块。
评价:可以将这个系统的多道程序并发度,保持在相对理想的位置。
快速区分可变分区的两个搭配
- 可变分区 + 全局置换:只要缺页就会给分配新物理块。
- 可变分区 + 局部置换:根据发生的缺页频率来动态地增加或减少进程的物理块。
2.4.4、何时调入页面,调入页面的时机问题(两个策略)
策略一:预调页策略
思路:根据局部性原理,一次调入若干个相邻的页面可能比一次调入一个页面更高效,但是若提前调入的页面大多数都没被访问过,则是低效的。
- 局部性原理主要是空间局部性原理,如果当前访问了某个内存单元,在之后很有可能会接着访问与其相邻的那些内存单元。
预测性:可以预测不久之后可能访问到的页面,将它们预先调入内存,但目前预测率成功只有 50%。
何时调入:运行前进程的首次调入,由程序员指出调入哪些部分。
策略二:请求调页策略
思路:进程在运行期间发现缺页时才将所缺页面调入内存,由这种策略调入的页面一定会被访问到,但由于每次只能调入一页,而每次调页时都要磁盘 I/O 操作,因此 I/O 开销较大。
何时调入:运行时调入。
2.4.5、从何处调入页面(三种情况)
认识磁盘存储区分布
磁盘存储区分为:对换区、文件区。

文件区更大,平时程序在没有运行的时候,相关数据会存放在文件区。
情况一:若是系统拥有足够的对换区
若是系统拥有足够的对换区:页面的调入、调出都是在内存与对换区之间进行的,这样可以保证页面的调入、调出速度很快。
- 系统会在运行前将相关数据复制到对换区,之后将这些页面从对换区调出到内存;若是内存不够则会将内存中的某些页面调出到对换区当中。

说明:页面调入调出都是在内存和对换区之间的。
情况二:若是系统缺少足够的对换区空间
若是系统缺少足够对换区空间:凡是不会被修改的数据会直接从文件区调入,由于这些页面不会被修改。
- 因此换出时不必写回磁盘,下次需要时再从文件区调入即可。
- 对于可能被修改的部分,换出时需写回磁盘对换区,下次需要时再从对换区调入。

情况三:UNIX 方式
UNIX方式:运行之前进程有关的数据全部放在文件区,故未使用过的页面,都可以从文件去调入;若被使用过的页面需要换出,则写回对换区,下次需要时从对换区调入。

2.4.6、抖动(颠簸)现象(了解工作集)
抖动、颠簸现象:刚刚换出的页面马上又要换入内存,刚刚换入的页面马上又要换出外存,这种频繁的页面调度行为。
- 对于这种现象,系统会使用大量的时间用于换入 / 换出,而实际用于进程运行的时间就变的很少,要尽量避免抖动发生。
主要原因:进程频繁访问的页面数目高于可用的物理块数(分配给进程的物理块不够)。
- 若是为进程分配的物理块太少,会使进程发生抖动现象;若是分配太多,又会降低系统整个并发读,降低某些资源的利用率。
为了研究应该为每个进程分配多少个物理块,Denning 提出了进程 “工作集” 的概念。
工作集
工作集:指在某段时间间隔里,进程实际访问页面的集合。
操作系统会根据 “窗口尺寸” 来算出工作集,例:
某进程的页面访问序列如下,窗口尺寸为 4,各时刻的工作集为:

实际应用中:窗口的大小会设置的更大一些 10、15 等,
根据工作集的大小分配多少个内存块,同时可以根据工作集的大小来确定驻留集的大小。
工作集大小范围:工作集可能小于窗口尺寸,实际应用中,操作系统可以统计进程的工作集大小,根据工作集大小给进程分配若干个内存块。如:窗口尺寸为 5,经过一段时间的检测发现某进程的工作集最大为 3,那么说明该进程有很好的局部性,可以给这个进程分配 3 个以上的内存块即可满足进程的运行需要。
扩展:基于局部性原理,进程在一段时间内访问的页面与不久之后会访问的页面是有相关性的。因此可以根据进程近期访问的页面集合(工作集)来设计一种页面置换算法,选择一个不在工作集中的页面进行淘汰。
知识回顾与重要考点

2.5、内存映射文件

2.5.1、认识内存映射文件
内存映射文件(Memory-Mapped Files):操作系统向上层程序员提供的功能(系统调用)。
- 方便程序员访问文件数据。
- 方便多个进程共享同一个文件。
2.5.2、传统的文件访问方式
为什么说内存映射文件可以让程序员更加方便使用文件数据呢?
传统的文件访问方式:

若是进程想要访问这个文件的数据需要按照以下步骤完成:
①open系统调用:打开文件。
②seek系统调用:将读写指针移动到某个位置。

③read系统调用:从读写指针所指位置读入若干数据(从磁盘读入内存)

④若是对数据进行修改,还会执行write系统调用,将内存中的指定数据,写回磁盘(根据读写指针确定要写回的位置)。
2.5.3、内存映射文件方式(使用 mmap 系统调用)
采用内存映射文件(Memory-Mapped Files),对应的访问方式步骤如下:
①open系统调用:打开文件。
②mmap系统调用:让操作系统将文件映射到进程的虚拟地址空间。
此时这个系统调用会给程序返回一个指针,指针会指向刚才映射的这片区域起始地址,接下来就可以用访问内存的方式这些数据,通过使用这个指针可以访问到任何一个数据:

注意目前上图里的分配的内存映射文件是灰色,原因是在使用 map 系统调用之后,操作系统只是建立了文件数据和内存之间的一个映射关系,但并没有把文件数据直接给读入内存,目前相当于是缺页的状态。
若是访问的数据是在文件的第二块,而当前这部分操作系统发现这一块数据还没有调入主存,此时就会出现一个缺页异常,操作系统会自动的把这一块数据给读入主存。

特别点:读入数据的过程是由操作系统自动帮我们完成的,并且我们若是想要修改数据也可以直接在这个内存中进行修改。
③close系统调用。
若是这个进程不再使用这个文件,进程可以使用 close 系统调用来关闭文件,关闭文件之后,操作系统会自动的把文件当中被修改的数据写回磁盘。
- 若是其中只有第二块是被修改过的,第三块没有修改过,那么操作系统会把第二块数据写回磁盘。
好处:使用内存映射文件,程序员对于文件数据访问方便很懂,只需要直到这个文件在内存当中的起始地址,之后就可以像访问内存的方式访问这个文件当中的数据,并且文件数据的读入或者写出都是由操作系统自动完成的。
- 内存映射文件是一种使用虚拟内存机制将文件映射到进程的地址空间的技术。它允许将文件的内容直接映射到内存中,使得文件的读写可以像对内存数据进行操作一样高效。
2.5.4、内存映射文件方式实现文件共享
功能:多个进程可以映射到同一文件,实现共享!
若是进程 1 与进程 2 都是对同一块磁盘文件读取,那么他们会在将对应的文件映射到自己的虚拟地址空间,映射到相同的物理内存上:

操作系统会将这两块虚拟地址空间映射到相同的物理内存上:
- 实际操作系统只需要修改这两个进程的页表,让对应的页面映射到相同的一个物理页框上,此时就可以让两个进程实际在共享同一份文件数据。

此时在物理内存中,一个文件对应同一份数据,当一个进程修改文件数据时,另一个进程可以立马看到。
知识回顾与重要总结

个人学习问题
1、既然使用虚拟内存后,会出现大量的换入换出,那么怎么解决这个问题呢?
- 会有页面分配、置换策略,以及磁盘中包含有对换区,根据实际情况来选择区域进行换入换出的。
整理者:长路 时间:2023.7.13-15