题17

题目

[!question]+
(17) (本题满分 9 分)
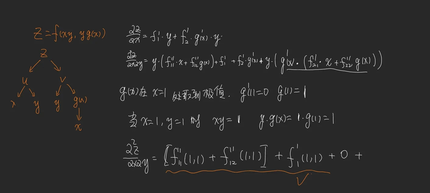
设函数 ,其中函数 具有二阶连续偏导数,函数 可导且在 处取得极值 ,求 .

分析

[!NOTE]+
题7,注意求偏导数的时候,这种嵌套的写法,还有这种写法,还有的这种写法,这三种写法分别在具体的题型里面是怎么导的

[!done]-
解 由链式法则,

可导且在 处取得极值 知, . 将 , 代入 ,得

注 ① 当我们使用 这样的符号时,下标 1,2 分别指第 1 个中间变量和第 2 个中间变量. 在计算过程中, 为了简化算式, 我们略去了中间变量的具体表达式. 例如本题中

② 由于本题中要求的是 处的值,故最后的结果必须写成代入具体的 值后的结果. 因为当 时, ,所以最后的结果为

而不能写成 .