前言

首先了解上层基础,接着学习下层建筑。
一、通信基础
1.1、物理层基本概念
1.1.1、认识物理层
物理层目的:解决如何在连接各种计算机的传输媒体上传输数据比特流,而不是具体的传输媒体。
物理层主要任务:确认与传输媒体接口有关的一些特性,需要进行定义标准。
现实生活中定义的标准:插排上的插口三线以及两线的;路由器后面的网线接口同样也是一致的

1.1.2、认识物理层的四种接口特性
列举物理层所定义的特性:需要在考试选择的时候能够区分出来各自特性
1、机械特性:定义物理连接的特性,规定物理连接时所采用的规格、接口形状、引线数目、引脚数量和排列情况。

2、电气特性:规定传输二进制位时,线路上信号的电压范围、阻抗匹配、传输速率和距离限制等。
举例电气特性:某网络在物理层规定,信号的电平用 + 10v ~ +15v 表示二进制 0,用 - 10v ~ -15v 来表示二进制 1,电线长度限制于 15m 内。
- 其中电平是范围。
3、功能特性:指明某条线上出现的某一电平表示何种意义,接口部件的信号线的用途。
举例:描述一个物理层接口引脚处于高电平时的含义。
注意:对于电气特性与功能特性比较容易混淆,电气特性中电气表示的是范围,而功能特性表示的则是电平某种含义。
4、规程特性:过程特性定义各条物理线路的工作规程和时序关系。
1.2、数据通信基础知识
1.2.1、典型的数据通信模型及相关术语
案例:主机 A 向主机 B 发送一段文字信息,对于中间数据传递的过程如下

计算机网卡发出的则是数字信号,经过调制解调器调成模拟信号,接着放到广域网的模拟信道上传输,接着再由调制解调器调解为数字传输给对方计算机网卡。
实际上面的各个设备都相对应有专业名词:

信源就是发送方主机。调制解调器就是发送器。- 公用电话网则是
传输系统。 - 对于用来模拟转数字的右边部分解调器叫做
接收器。 信宿为目标方主机。
我们将相应的名词合并就可以构成新的名词:

源系统:信源 + 发生器。传输系统:依旧是传输系统。目的系统:接收器 + 信宿。
1.2.2、数据通信相关术语
通信的目的:传送信息。
①消息:语音、文字、图像、视频等。
②数据data:传送信息的实体,通常是有意义的符号序列。
③信号:数据的电气 / 电磁表现,是数据在传输过程中的存在形式。
二进制数据如何飘洋过海找到它的接收端呢?
我们传送的消息就是实际要说的话;数据则是计算机将消息翻译成计算机所能理解的语言,也就是有意义的符号序列,如二进制数 01 序列;将数据放到链路上或者说放到信道上传输的时候以信号的形式存在。
注意:若是信号要以数字信号或者是模拟信号形式存在,要取决于这个信道是什么样的。若是模拟信道,那么就只能允许模拟信号通过,若是数字信道,那么就可以是数字信号。
④信源:产生和发送数据的源头。
⑤信道:信号的传输媒介。一般用来表示向某一个方向传送信息的介质,因此一条通信线路往往包含一条发送信道和一条接收信道。
- 信道是具有方向性的,你往我这里发送数据就会有一个发送信道,若是我往你那发送数据也会有一个发送信道。
信道的分类如下:

- 对于按照传输介质分,对于
无线信道就是看不见摸不着的;对于有线信道,例如网线、光纤、同轴电缆里面信号传输媒介能够看得见摸得着的。
1.2.3、设计数据通信系统要考虑的三个问题:
问题 1:采用单工通信 / 半双工 / 全双工通信方式?
从通信双方信息的交互方式看,有三种基本方式:
生动例子:

1、单工通信:只有一个方向的通信而没有反方向的交互,仅需要一条信道。

2、半双工通信/双向交替通信:通信的双方都可以发送或接收信息,但任何一方都不能同时发送和接收,需要两条信道。

3、全双工通信/双向同时通信:通信双方可以同时发送和接收信息,也需要两条信道。

问题 2:采用串行通信 / 并行通信方式?
数据传输方式分为:串行传输、并行传输。
串行传输:将表示一个字符的 8 位二进制数按由低位到高位的顺序依次发送。

并行传输:将表示一个字符的 8 位二进制数同时通过 8 条信道发送。

串行与并行的特点对比:
- 串行特点:速度慢,费用低,适合远距离。
- 并行特点:速度快,费用高,适合近距离。
** 对于费用高低怎么看?** 例如同样距离串行只需要一条信道,而上面的并行则需要 8 条信道,所以串行特点费用低,并行费用高。
应用:①计算机内部的数据传输采用的就是并行传输;②集成电路芯片内部,同一个插件板各个部件之间以及同一个机箱里,数据传输都是采用并行传输。③打印机的接口也是并口。

问题 3:采用同步通信 / 异步通信方式?
①同步传输:在同步传输的模式下,数据的传输时以一个数据区块为单位,因此同步传输又称为区块传输。
规则:在传输数据时,需要先送出 1 个或者多个同步字符,接着在送出整批数据。实现了一个发送方和接收方的时钟同步。

举例子:例如跳双人舞蹈,那么你、我就需要之间保持一个同步来进行跳舞的节奏。
②异步传输:异步传输将比特分成小组进行传送,小组可以是 8 位的一个字符或更长。
规则:发送方可以在任何时刻发送这些比特数组,而接收方不知道它们会在什么时候到达,传送数据时,加一个字符起始位以及一个字符终止位。


异步传输也要实现同步吗?为什么异步传输也要实现同步?
- 对于计算机的通信过程,实际与打电话类似,同样要在拨通电话后确认身份,接着进入通话状态,在通话过程中,合理的就是说话的人说清每个字,然后每说完一句话要停顿一下,那么对方就要适应这个说话人的语速,听清对方所讲的每个字。根据对方说话人的语气和停顿来判断下一句什么时候开始,什么时候结束。(这是人说话是要实现的同步问题)
- 对于计算机通信同理,那么主要就分为同步传输与异步传输。
与同步区别:对于异步传输在发送端并不是连续的发送这几个字节,而是隔一会发一个字节,断断续续的发(所以说是异步,实际也是要实现同步的,对于发送字符比特数的顺序应当也是同步进行的,仅仅只是说发送的时间段并不是连续的)。
对于异步传输的起始位与终止位:起始位与终止位默认为 0、1。每次异步传输信息,都会以这样的一个起始位开头,那这个起始位到达接收端,接收端就知道数据到达了,那么接收端在接收这个起始位的缓存数据比特的时间,接下来就可以接收之后的数据了。接着又会收到终止位,对于终止位同样也是收到一个 1 的高电平。之后就等待发来的新的起始位来进行循环往复。
实际案例:我们在键盘上随机敲一些数字,对于按哪个键都是随机的,那么计算机在对这一个按键处理的过程实际就是异步传输。
1.2.4、码元
1.2.4.1、认识码元以及什么是码元?(k 进制码元)
码元:指用一个固定时常的信号波形(数字脉冲),代表不同离散数值的基本波形,是数字通信中数字信号的计量单位,这个时长内的信号称为 k 进制码元,而该时长称为码元宽度。当码元的离散状态有 M 个时(M 大于 2),此时码元为 M 进制码元。
发送过程:主机 A 与主机 B 进行发送消息,消息首先会转为比特流也就是二进制形式 0、1 表示,那么此时发出一个高电平则表示为 1,一个低电平则是 0,同理主机 B 在接收的时候也是如此,若是传输来的是高电平,那么就是 1,若是传输来的是低电平,那么就是 0。
- 通过高低电平来传递数字信号。

** 什么是码元?** 下面图中一小段(红色一横)就是一个码元。对于这一段的时间长度就是码元宽度。

什么是几进制码元?
- 当码元的离散状态有 m 个时,此时码元就是 M 进制码元。
举个例子下面的数字信号波形状态只有两种,一低一高,这个就是二进制码元:

注意:1 个码元可以携带多个比特信息量。
- 例如,在使用二进制码元,只有两种不同的码元,一种代表 0 状态,另一种代表 1 状态。1 个码元携带 1 个比特信息。
此时提出一个问题,若是四进制码元,1 个码元可以携带几个呢?
- 推理:4 进制码元—> 码元的离散状态有 4 个—>4 种高低不同的信号波形 00、01、10、11。那么 1 个码元就可以携带两个比特信息。
若是十六进制码元呢?
- 推理:16 进制码元—> 码元的离散状态有 16 个—>16 种高低不同的信号波形,那么 1 个码元携带 4 个比特信息。
结论:若是 K 进制码元 ,那么离散状态有 K 个,有 K 个高低不同的信号波形,与此同时 1 个码元携带 log2K 个比特信息。
1.2.4.2、数字通信系统数据传输速率的两种表示方法(码元传输速率,信息传输速率)
数据传输速率指的就是数字通信系统当中的一个性能指标。
1)码元传输速率:别名码元速率、波形速率、调制速率、符号速率等,它表示单位时间内数字通信系统所传输的码元个数(也可称为脉冲个数或信号变化的次数)。
- 其中信号变化次数要注意的点有:对于连续的两个比特若都是低电平,也是会记录在信号变化的次数中,如下其实对于相同低电平的也算是从一个码元到了另一个码元,也是发生了变化了的。

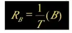
单位:波特(Baud),简写也就是 B,切勿将字节 B 混淆在一起。1 波特表示的时数字通信系统每秒传输 1 个码元。
简洁描述码元传输速率:实际就是 1s 传输多少个码元。
计算例题:若是 2s 内传输了 4800 个码元,那么码元的传输速率时多少? 4800 / 2 = 2400 码元 / s。
数字信号有多进制与二进制之分,但是码元速率与进制数无关,只与码元长度 T 有关。
- 这个码元长度 T 指的就是下面一小段所占的时长。

码元速率的公式:

- RB 指的就是码元速率,T 指的是码元长度,B 就是波特 Baud。
2)信息传输速率:别名信息速率、比特率等,表示单位时间内数字通信系统传输的【二进制码元个数(即比特数)】,单位是比特 / 秒(b/s)。
注意这里提出疑问:为什么二进制码元个数就等于比特数?
- 二进制码元有 2 个离散状态,那么 1 个码元就是携带一个比特数据,若是对于 4 进制码元,那么此时 1 个码元就是 2 个比特数,就无法等价!主要是这个原因!!!
简单描述信息传输速率:1s 传输多少个比特。
关系:若是一个码元携带 n bit 的信息量,则 M Baud 的码元传输速率所对应的信息传输速率为 M x n bit/s。
- 举例:此时码元传输速率为 2B/s,注意这里 B 指的是波特,此时就告诉 1 一个码元携带两个比特信息量,此时信息传输速率比特率是多少?2 x 2B = 4B / s。
思考题 1(码元传输率与信息传输率)
题目:

解析:
本题考察的是码元与比特之间的关系以及信息传输率和码元传输率分别表示的是什么?
- 一个码元可以表示为多个比特,这个要看是几进制码元,若是 K 进制码元,那么一个码元就是表示携带了 log2K 个比特。
- 码元传输率就是计算一秒钟传输了多少码元。
- 信息传输率就是计算一秒中传输了多少比特。
上面的基本概念理解之后,此时我们来进行计算。
解决第一问,四进制系统码元传输速率:4s 传输 8000 个码元,那么 1s 传输 2000 个码元,那么码元传输率就是 2000B/s。
- 注意这里的 B 指的是波特 Baud,不是字节 Byte,一般对于传输速率不会使用 Byte 来表示的。
解决第二问,四进制系统信息传输率:由于四进制码元,那么 1 个码元就是 2 比特,那么信息传输率为 4000b/s。
- 这里的 b 就是比特。
解决第三问,十六进制码元传输速率:1200B/s。
解决第四问,十六进制信息传输速率:十六进制码元,那么 1 码元携带 4 比特数据,那么信息传输率为 4800b/s。
解决第五问:若是要找到系统传输率谁快,那么通常比较的是信息传输速率,也就是每秒传输的比特数,所以在题中十六进制码元的通信系统传输速率比较快。
思考题 2(码元传输率推信息传输率)
题目:

解析:
八进制码元,1 个码元就携带 3 个二进制比特数据,由于传输速率为 1600B,这里 B 指的是波特也就是码元数,那么换算为信息传输速率就是 3 x 1600 = 4800b/s。
思考题 3(信息传输率推码元传输率)
题目:

解析:
四进制数字信息,那么 1 个码元就表示 2 比特数据,由于信号传输率为 2400b/s,那么码元传输速率为 1200B/s,转换一下即可。
1.2.5、带宽(Bandwidth,包含模拟、数字)
带宽通常描述信道的最优性能,其中包含有模拟信号带宽以及数字信号带宽(通常计网里计算数字信号带宽):
1、模拟信号系统中:当输入的信号频率高或低到一定程序,使得系统的输出功率称为输入功率的一般时,即 - 3db。最高频率和最低频率间的差值就代表了系统的通频带宽。
- 简洁解释:最高频率与最低频率的差值。
单位:赫兹(Hz)。

2、数字设备中:表示在单位时间内从网络中的某一点到另一点所能通过的 ” 最高数据率 ” 或者 单位时间内通过链路的数量,常用来表示网络的通信线路所能传输数据的能力。
单位:比特每秒(bps),b/s。

脑图时刻

1.3、奈式准则和香农定理(考察计算)
1.3.1、奈式准则
1.3.1.1、认识失真以及影响失真的因素
失真指的是失去真实性,在计算机网络当中,主要指的就是信号,它和本身传的时候,也就是在开始的时候信号发生了扭曲和变化。
下面是两种情况:
情况 1:有失真但可识别

情况 2:失真大无法识别

影响失真程度的因素有如下几个:
1、码元传输速率:码元传输速率过快的话,导致信号失真的程序就越严重。
2、信号传输距离:信号传输传输举例越远,衰减越久,干扰也就越久。
3、噪声干扰:噪声干扰越多,则信号越容易失真。
4、传输媒体质量:传输媒体质量越差,那么在接收端接收到波形的失真也就越严重。
前面三种是正相关,后面一种则是负相关。
1.3.1.2、什么是码间串扰?
失真有一个非常重要的失真现象,在考研中引申出奈式准则的现象,叫做码间串扰。
下面信道带宽的多种情况:

- 赫兹指的是一秒当中震动的次数。
可以看到对于 200HZ、4000HZ 都是无法通过的,此时对于能够通过的最高赫兹是 3300HZ,最低赫兹则是 300HZ。
信道带宽是信道能够通过的最高频率和最低频率之差。即 3300Hz - 300Hz = 3000Hz。
** 为什么 200HZ 的不能通过,其原因是什么?** 就是因为震动的频率太低了,在非常复杂的电话线上传输的过程中十分容易收到衰减,受到损耗,最终导致最终衰减没有了不能通过。
** 为什么 4000HZ 也不能够通过?** 因为震动的频率太快了,会导致我们在接收端在接收的时候区分不出来它们这个波形之间的差异。
对于上面这两种情况就会导致码间串扰的现象。
码间串扰:指的就是接收端收到的信号波形失去了码元之间清晰界限的现象。
- 若是频率快,那么码元传输速率快,实际码元传输速率与信号频率是相对应的关系,那么对于计算机网络中的
码间串扰就是指码元传输速率过快从而导致码元之间界限不清楚,分不清是 0 还是 1。
1.3.1.3、解决码间串扰的方案:奈式准则
为了解决码间串扰,出现了一个非常好的准则:奈式准则(奈奎斯特定理)
奈式准则:在理想低通(无噪声,带宽受限)条件下,为了避免码间串扰,极限码元传输速率【注意是码元】为 2W Baud,W 是信道带宽,单位是 Hz。
- 奈式准则是由奈奎斯特在 1924 年推到出来的一个定理。
理想传输环境:信道中没有噪声,不会收到外界的影响。低通:带宽受限。(信道有带宽,带宽指的是最高频率 - 最低频率的差,那么所有低于最高频率的信号都是可以通过的,那么叫作低于最高频率的可以通过)
规定:码元传输速率不可以是无穷大,一定要有一个上限值,而这个上限值,奈式可以给我们推出来,就是 2W。
注意:之前信道带宽都是使用的比特每秒,但是要注意的是在奈式准则以及香农定理中带宽的单位都是使用的赫兹 Hz。
- 若是做题给出信道带宽是多少赫兹,那么就要想到用这两个公式准则来求。
规定码元传输速度极限值为 2W 的原因,下面给出了传输速率慢以及快的例子:
传输速率慢:此时信号看到就非常的清楚,对于接收端可以非常清楚的分辨出 0、1、0、1 码元的界限,识别出每个码元

传输速率快:若是频率过快,那么接收端会根本分不清,彼此之间没有清晰的界限,因此达不到识别每一个码元的目的。

1.3.1.4、奈式准则计算极限数据传输率(极限码元传输速率)
在考研中,为了混淆知识点,还会再求异步极限数据率,极限传输速率,使得奈式定理看上去与香农定理很像,但是要注意两者的侧重点不一样。
- 奈式准则:只是限制码元传输速率有一个上限。
- 香农定理:才是真正限制信息的传输速率有一个上限。
奈式准则如何求极限数据率?

- V 指的是码元的离散电平数目,例如信号中有四种波形状态,那么对应四种码元,此时 V 就是 4。
- W 指的就是带宽,这里带宽单位是赫兹。
1.3.1.5、奈式准则的四条结论
1、在任何信道当中,码元传输的速率是有上限的。若是传输速率超过此上限,就会出现严重的码间串扰问题,使接收端对码元的完全正确识别成为不可能。
2、信道的频带越宽(即能通过的信号高频分量越多),就可以使用更高的速率进行码元的有效传输。
- 频带实际就是指的公式中的 W,这个 W 越大,那么整个式子得到的极限数据传输率也会越高。
- 为什么频带越宽,能通过的信号高频分量越多?频带越宽指的就是信道中最高频和最低频的差越大,也就越宽,那么对应信道中通过的高频也就更多了。
3、奈式准则给出了码元传输速率的限制,但并没有对信息传输速率给出限制。
4、由于码元的传输速率收到奈式准则的制约,所以要提高数据的传输速率,就必须设法使每个码元能够携带更多个比特的信息量【实际就是提升公式中的 V 变量】,这就需要多元制的调制方法。
1.3.1.6、奈式准则计算题练习

解析:
题目中四个相位,四种振幅,那么就是要将调向和调幅结合在一起,此时对应着 4x4=16 种码元,此时 V 就是 16。
题目种给出带宽为 3kHz,那么 W 就是 3k。
接着直接套公式:最大数据传输率 = 2 x 3k x 4 = 24kb/s
1.3.2、香农定理
1.3.2.1、引出香农定理
引出:对于奈式准则仅仅只是规定最高极限码元传输速率,而对于香农定理则是来规定比特率,也就是比特传输速率最高时多少。
香农定理不仅定义了信道当中传输的比特极限传输速率,同时还考虑到了信道当中实际会存在的电磁干扰,也就是噪声的影响。
噪声是存在于所有的电子设备和通信信道当中的,由于噪声随机产生,它的瞬时值有时候会很大,因此噪声会使接收端对码元的判决产生错误,但是噪声的影响是相对的,若是信号较强,那么噪声影响相对较小。因此,信噪比十分重要。
- 对于若是信号较强,那么噪声影响相对较小的理解,举个现实例子:学霸与学渣在教室上课,若是底下学生没有一点声音时,此时老师教课的声音十分大,那么对于学霸接收老师的信息则会很平稳,此时若是学渣开始叽叽喳喳声音很大时,那么学霸此时对于接收老师的信息就会收到很大的影响,但若是老师的声音提高了一倍直接盖过了学渣的讨论声音,那么此时学霸接收信息依旧不会受到很大影响。
- 在这个例子里信号就是老师讲课声音,噪声就是叽叽喳喳声音,若是信号强盖过了噪声,那么此时噪声的影响相对较小。
1.3.2.2、认识香农定理及计算公式(极限信息传输速率)
信噪比:信号的平均功率 / 噪声的平均功率,常记为 S / N,并用分贝(dB)作为度量单位。
- 一般的话题目中会直接给出信噪比。
另一种写法(类似于科学计数法):信噪比(dB) = 10 log10(S / N)。
- 数值是等价的,但是在表示方面上有所不同。
在实际考试当中,我们要看清是 dB 给的单位,还是给了没有单位的比值!
香农定理:在带宽受限制且有噪声的信道中,为了不产生误差,信息的数据传输速率有上限值。
- 这个上限值就是香农定义公式当中求的。
信道的极限数据传输速率公式:

若是题目中信噪比是 1000,没有单位,那么直接代入即可;若是信噪比是 30dB,那么就需要先通过这个公式,求出 S/N 再带到这个公式当中来计算。
1.3.2.3、香农定理的五大推论
1、信道的带宽或信道中的信噪比越大,则信息的极限传输速率就越高。
- 实际就是公式中的 W、N/S 越来越大,那么此时极限传输率就越高。
2、对一定的传输带宽和一定的信噪比,那么信息传输速率的上限就确定了。
- 公式中的 W、N/S 确定了,那么就能够得到一个信道的极限数据传输速率。
3、只要信息的传输速率低于信道的极限传输速率,就一定能够找到某种方法来实现无差错的传输。
4、香农定理得到的为极限信息传输速率,实际信道能达到的传输速率要比它低不少。
5、从香农定理可以看出,若信道带宽 W 或者信噪比 S/N 没有上限(不可能),那么信道的极限信息传输速率也就没有上限。
1.3.2.4、香农定理计算题练习

解析:题目并不会告知你是奈式公式还是香农公式,需要你根据题目中给出的信息来判断计算。
题目给出了信噪比,那么就表示需要使用香农定理。
由于这里信噪比给出的是 dB,此时我们就需要先换算得到 S/N:30dB = 10log10(S/N),则 S/N = 1000。
题目中给出带宽为 3000Hz,此时 W 就是 3000,那么将 W 与 S/N 代入到香农定理公式中:
信道的极限数据传输速率 = Wlog2(1+S/N) = 3000 x log2(1 + 1000) = 30kb/s。
1.3.3、奈式与香农的区别以及考试如何选用、计算?
1.3.3.1、了解两者区别
奈式准则:内忧
- 出现原因:带宽受限无噪声条件下,为了避免码间串扰,码元传输速率的上限 2W Baud。
- 理想低通信道下的极限数据传输率 = 2Wlog2V。
- 提高数据率方式:提高带宽(W)或者 采用更好的编码技术(K 进制码元)。
香农定理:外患
- 出现原因:带宽受限有噪声条件下的信息传输速率。
- 信道的极限数据传输速率 = Wlog2(1+S/N)。
- 提高数据率方式:提高带宽 W 或者 信噪比(S/N)。
1.3.3.2、关于题目中如何选用定理计算?(包含实际例题)
在题目中如何去进行判别选用哪个定理进行计算呢?
- 对于若是没给噪声条件那就是奈式准则,这种说法其实不全对。
- 如果说这道题里面没有给噪声信噪比的条件,香农定理肯定不能用,自然就是奈式准则;
- 若是给了信噪比,同时他也给了这样的一个 v(奈式中公式的 V),也就是说一个码元对应多少个比特,同时也给了两个准则,那么我们两个公式要进行计算,然后取里面的一个最小值!
例题:二进制信号在信噪比为 127:1 的 4kHz 信道上传输,最大的数据速率可达到多少?
①奈式准则计算
题目中给出了采用二进制信号,那么 V 就是 2,相对应 4kHz 就表示的是带宽,即 W = 4kHz。
最大的数据速率 = 2 x 4000 x log22 = 8000b/s
②香农定理计算
给出了信噪比 S/N = 127/1 = 127,同时带宽 W = 4kHz
最大的数据速率 = 4000 x log2(1 + 127) = 28000b/s
结果:最终我们取出一个最小值,也就是奈式准则中的 8000b/s 作为最终的答案。
1.4、编制与调制
1.4.1、前置知识:基带信号与宽带信号
信道:信号的传输媒介,一般用来表示向某一个方向传送信息的介质,因此一条通信线路上往往包含一条发送信道和一条接收信道。
- 信道按照传输信号分为:模拟信道(传输模拟信号)、数字信道(传输数字信号)
- 信道按照传输截止分为:无线信道、有线信道。
对于基带信号与宽带信号实际上就是信道上传送信号的两种形式。除了数字信号、模拟信号,还可以分为的就是基带信号和宽带信号。
基带信号
基带信号:将数字 1、0 直接用两种不同的电压表示,再送到数字信道上传输(基带传输)。来自信源的信号,像计算机输出的代表各种文字或图像文件的数据信号都属于基带信号。
- 基带信号就是发出的直接表达了要传输的信息的信号,如我们说话的声波就是基带信号。
- 关键是【信源】发出的,可以是人类也可以是计算机,计算机发出的信号就是高电平、低电平这样子的。而人发出的声波就是模拟信号,高低起伏的,所以可以说基带信号是【数字信号 或 模拟信号】。
- 关键理解:在计算机网络中,用的是数字信号,因为计算机设备网卡发出的就是数字信号,那么数字信号只能够放到数字信道上传输,所以叫做基带传输。
基带传输编码的过程:会规定什么样的波形表示 0 或 1,会按照一种规定的编码方式来进行。
宽带信号
宽带信号:将基带信号进行进行调制后形成的频分复用模拟信号,再传送到模拟信道上去传输(宽带传输)。
过程:将基带信号经过载波调制后,把信号的频率范围搬移到较高的频段以便在信道上传输(即仅在一段频率范围内能够通过信道)。
举例子:例如我们正常说话,若是很远的人就不能够听到我们的声音,那么我们可以借助一个发射塔来将我们呢的声波发射出去,但是由于我的声波频率没有很高,所以展示波形是比较窄宽的,而又由于要传输距离很远,因为天气、环境原因可能会对我们信号造成衰减,此时就会对我们的信号产生一些损耗,对于这种情况,就需要对这个基础的基带信号(也就是我们正常说的话,即基带信号)进行一个调制从而将它调制为一个频率比较高的高频信号,那么高频信号是可以对应衰减很大的环境,即使有衰减很大的干扰因素,还是能够传输到目标端再经过解调来恢复到原先的信号频率。

巧计:基带信号是数字信号在数字信道上传输,宽带信号是模拟信号在模拟信道上传输。
总结基带与宽带及其中的区别:
- 在传输距离较近时,计算机网络采用基带传输方式(近距离衰减小,从而信号内容不易发生变化)。
- 在传输距离较远时,计算机网络采用宽带传输方式(远距离衰减大,即使信号变化大也能最后过滤出来基带信号)。
1.4.2、认识编码与调制(四种编码、调制方式)
引言:数据可以是数字的,也可以是模拟的,如计算机中使用的是二进制的 0、1,那么它所发出的数据就是这个数字数据,是离散的,而人说话所发出的声波,是一种模拟数据,是连续不断的。对于数据来说,不管是数字数据还是模拟数据,为了能够将数据传输并让接收端能够接收到数据,需要首先将数据转成信号,此时才能将信号放到链路上进行传输,在接收端还需要将信号转为数字。
- 数据—> 数字信号,即
编码。 - 数据—> 模拟信号,即
调制。- 上面数据实际可以表示数字或者模拟,并不唯一。
编码过程:①数字数据通过使用数字发送器来变成数字信号。②模拟数据通过使用 PCM 编码器来变成数字信号。
调制过程:①数字数据通过使用调制器来变成模拟信号。②模拟数据通过使用放大器调制器来变成模拟信号。

- 巧计:若是数字发生器,两端都是数字; 调制就是数字—> 模拟,解调就是模拟—> 数字,最后的 PCM 就是模拟数据—> 模拟信号。
编码与调制完整过程:首先将原始的基带信号调制成模拟信号(一种高频的模拟信号)才能够放在链路上传输,接着将这个高频信号过滤下来,过滤成最开始传输的声波,此时接收端就可以接收了。
1.4.3、深入理解四种编码、调制方式
数字数据编码为数字信号
认识六种数字信号编码方式
目的:计算机所发出的数据,都是 0101 这样的数字数据,为了使这个数据能够在信道上面进行传输,就需要把这个数据编码成数字信号的形式。
用途:数字数据的编码就是用于这个基带传输,基本不改变这个数字信号的频率,直接传输数字信号。
对于数字信号编码方式有如下六种,常用的三种为前三个,不太常用的则是后三个(其中反向不归零编码在 15 年中考察过):

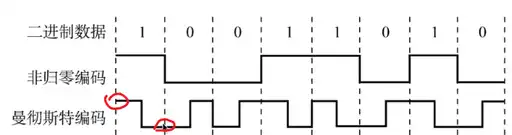
(1)非归零编码【NRZ】
规则:高 1 低 0(高电平是 1,低电平是 0)。
好处:编码容易实现。
缺陷:没有检错功能,且无法判断一个码元的开始和结束,以至于收发双方难以保持同步。
- 反例:若是此时发送的数据是一长条的连续的 1 或者 0,那么此时接收端会收到一条特别长的直线,此时它就不知道这条直线到底有多少个 1 或 多少个 0,若是想要让接收端知道每一段时间时钟周期有多久(可以通过建立一条专门用来传输时钟周期的信号来告知发送的周期、速度)。

(4)归零编码【RZ】
规则:信号电平在一个码元之内都要恢复到 0 的编码。
如何解释在一个码元内恢复?
- 举个例子,这里默认的是二进制码元,那么一位比特就是一个码元,在下图里我圈住的部分就是在一个码元内恢复为 0 的一个状态。

缺陷:在归零编码整个传输过程当中,处于低电平的情况十分多,也就是相当于这个信道都没怎么用它,所以不太推荐使用。
(5)反向不归零编码【NRZI】
规则:信号电平反转表示 0,信号电平不变表示 1。

我们来对每一个位置变化来解释规则:
默认从①开始是发送的高电平。
到了②:由于我们要发送的是0,此时根据规则信号电平翻转表示0,那么此时基于①中的高电平,我们在②是低电平!
到了③:发送的是0,根据规则基于②中的低电平,要翻转,此时③就是高电平。
到了④:发送的是1,根据规则基于③中的高电平,不变,此时④就是高电平。
到了⑤:发送的是1,根据规则基于④中的高电平,不变,此时⑤就是高电平。
到了⑥:发送的是0,根据规则基于⑤中的高电平,要翻转,此时⑥就是低电平。
到了⑦:发送的是1,根据规则基于⑥中的低电平,不变,此时⑦就是低电平。
到了⑧:发送的是0,根据规则基于⑦中的低电平,要翻转,此时⑧就是高电平。
对比归零编码:可以看到在这个反向不归零编码中在一个码元里是不会发生跳变的电平,对于之前的归零编码则会在一个码元内发生跳变。
好处:若是发送的信号全是 0 时,那么每一个码元会一个接着一个翻转。
缺陷:若是发送的信号全是 1 时,那么同样会出现发送一长段都是 1 的情况,导致不翻转,此时接收端就不能够知道一共发送了多少个 1,与之前的归零编码一样,如要解决就需要再创建一条新的信道,过程中传输时钟周期,告知接收到每一段时多长。
(2)曼彻斯特编码
综合非归零编码、归零编码、反向不归零编码的优缺点,形成了曼彻斯特编码这一种十分优秀的编码。
特点:可以把时钟信号以及我们的数据放在一起传输,而不需要有额外的信道来进行传输时钟信号实现本身的同步【同步接收端】,此时就可以从接收到的数据判断出来,你发送给我的这样一些数据分别是什么?不需要再单独提取信号或者计算每一个时钟周期是多少。
曼彻斯特编码规则:将一个码元分成两个相等的间隔,前一个间隔为低电平后一个节点为高电平表示码元 1;码元 0 则正好相反。(同样也可以采用相反的规定)。
若是按照规则【前一个间隔为低电平后一个节点为高电平表示码元 1;码元 0 则正好相反】,那么我们可以知道红色部分的前高后低那么就表示传输的是 0,蓝色部分的前低后高表示 1。

特点:在每一个码元的中间出现电平跳变,位中间的跳变既可以作为时钟信号(可用于同步),又可以作为数据信号,但它所占的频带宽度是原始基带宽度的两倍。每一个码元都被调成两个电平,所以数据传输速率只有调制速率的 1/2。
实际例子:若是码元传输速率是 40Boud,那么对于这个信息速率就只有而是比特每秒。
详细解释各个疑问点:
①一个码元会被分割成两个相等的间隔,对于后面的一个间隔可以看作是时钟信号,也可以看作是数据信号,若是作为时钟信号,那么就能够让发送方与接收方实现同步。

②可以看到每一个码元之间根据规则都能够产生一次跳变,此时接收方就能够检测到这一次跳变,检测到一次跳变那么就是发送方发送了一个比特。对于每个码元之间发生跳变的我都圈出来了:

③如何确定发送的一个码元表示的数据呢?看下面的第一个码元,以前边与后百年的高低来进行确定,根据编码规则来确定是 1 还是 0(也许是前高后低是 0,也有可能前低后高是 1,根据具体编码来定)

④在曼彻斯特编码当中,所占频带宽度是原始基带宽度的两倍,每一个码元都被分割成了两个部分,所以可以调制成两个电平,那么数据传输率只有调制速率的 1/2。
提出疑问:这里不是二进制码元吗,不就是一个比特对应一个码元,为什么说实际传输的比特数是 1/2?
解答:码元传输速率既可以是一秒中传输码元的个数,也可以是一秒传输的脉冲个数或者说信号变化的次数,在曼彻斯特编码中比较特别,在一秒中一个时间间隙是作为一个时钟,那么在一个周期当中信号变化了两次,并且只有通过一次跳变(两次信号变化)才能够得到一个比特数据,所以它的调制速率或者说码元传输速率是数据比特传输速率的 2 倍。
- 简洁:一个时钟周期脉冲个数是 2 个,我们是按照这个脉冲个数来作为码元传输速率,那么自然而然数据比特传输速率是其的 1/2。
(3)差分曼彻斯特编码
规则:同 1 异 0。若是当前传输的码元是 1,那么当前半个码元的电平与上一个码元的后半个码元的电平相同,若为 0,则相反。
示例:可以看到是基于我下图中画圈的位置开始,默认先高电平,接着我们开始发送数据。

为了能够让接收端感知到所以此时在发送码元时会进行翻转,从低电平开始,红色部分就是我们发送的一个码元(实际是两个电平)此时我们要发送的是 0,根据同 1 异 0 的规则,就是前低后高。

同样对于蓝色部分也是表示一个数据,首先基于之前的一个电平来确定当前起始电平是低还是高,之前的电平是高电平,那么就从低电平开始,发送的是 1,那么①②都是相同的低电平。

那么之后我们根据这个规则可以得到每次发送的数据是什么:

应用:常用于局域网传输。
特点:在每个码元中间都有一次电平跳转,通过这个电平的跳转可以实现自同步,抗干扰性强于曼彻斯特。
- 个人感觉是在曼彻斯特编码的基础上增加了规则,也就是每一次发送的电平与之前电平会有翻转的特点,能够让电平跳动更加频繁,接收方能够感知的更加清楚。
(6)4B/5B 编码
对比之前编码:可以看到之前对于曼彻斯特编码、差分曼彻斯特编码都是让接收端收到一个比特数据就需要发生一次电平跳动,那么其中曼彻斯特的数据传输率是码元传输率的 1/2。
4B/5B 编码规则:每次传输 5 比特数据来表示真实的四个数据。比特流中插入额外的比特以打破一连串的 0 或 1,就是用 5 比特来编码 4 个比特的数据,之后再传给接收方,因此称为 4B/5B 编码
真实4比特数据 5比特编码
0000 11110
0001 01001
0010 10100
0011 10101
0100 01010
0101 01011
0110 01110
0111 01111
1000 10010
...
1111 11101其中 4 比特数据能够表示 0-15,分别使用 5 比特数据来进行表示相对应的比特数据,五比特中多出来的 16 位作为控制码(帧的开始和结束,线路的状态信息等)或保留。
好处:这种编码方法的优点是具有较好的传输性能和错误检测能力。通过将输入数据转换为 5 比特的输出,可以保证传输数据中不存在连续的多个 0 或 1,减少传输中的直流偏移,提高传输可靠性,并且还能够检测和纠正一些传输错误。
数字数据调制为模拟信号(4 种数字调制方法,含计算题)
数字数据调制技术在发送端将数字信号转换为模拟信号,而在接收端将模拟信号还原为数字信号,分别对应调制解调器的调制和解调过程。
基本的数字调制方法如下:
调幅(ASK,幅移键控):0 就是没有服务,1 就是有幅度。
调频(FSK,频移键控):频就是频率的意思,0 就是低频,1 就是高频。
- 若是十分稀疏、宽,只震动两次表示 0,若是比较高频震动 4 次表示 1。
调相(PSK,相移键控):就是对相位的一个调制。0 对应一种波形,1 对应另一种波形。

正交振幅调制(调幅+调相,QAM):也就是调幅 + 调相结合一起使用。
- 原理:在调幅的基础上,对于这个幅度再进行细分;或者在调向的基础之上,对于每一种相位再给它细分,调成不同的幅度。
经常考察计算题:
题:某通信链路的波特率是 1200Boud,采用 4 个相位,每个相位有 4 种振幅的 QAM 调制技术,则该链路的信息传输速率是多少?
解析:采用了 4 个相位,每个相位有 4 种振幅,那么整个信号就有 4x4=16 种波形,对于 16 种波形,实际对应有 16 种码元,这里就是十六进制码元,此时 log216 = 4,也就是说一个波特表示 4 个码元。
此时由于波特率是 1200Boud,那么我们信息传输速率为 4x1200 = 4800bit/s。
模拟数据编码为数字信号(三步骤,抽样、量化、编码)
模拟数据如何编码为数字信号?
- 计算机内部处理的是二进制数据,处理的都是数字音频,所以需要将模拟音频通过采样、量化转化成有限个数字表示的离散序列(即实现音频数字化)。
最典型例子:对音频信号进行编码的脉码调制(PCM),在计算机应用中,能够达到最高抱枕水平的就是 PCM 编码,被广泛用于素材保存及音乐欣赏,CD、DVD 以及我们常见的 WAV 文件中均有应用。
主要包含三步骤:抽样、量化、编码。
1、抽样
过程:对模拟信号进行周期性的扫描,把时间上连续的信号编程时间上离散的信号。
- 原理:模拟信号是一个连续性的波折,在抽样的过程中,每一个时间周期,抽一次就是看一次这个时候所对应的电压、电平是多少,因此就把这一个连续的完整的波形,变成了一个又一个的小点,为了使这些所取得的离散信号能够无失帧代表抽样的模拟数据采用采样定理进行采用。
要求:为了能够使得所有离散信号能够乌石镇的代表被抽离的模拟数据,要使用采用定理进行采样,

,注意这里是 >=。
实际例子:可以看到一些音乐播放器上采样频率为 44100,这是因为我们的人耳听到的声波是 20Hz-20 千 Hz,若是要听音乐的话,那么这个音乐尽可能保真不失真,那么采样频率就需要是最高频率的 2 倍以上。

有时候常说的高频失真、不清楚,就是采用频率没到。
2、量化
过程:将抽样取得的电平幅值按照一定的分级标度转化为对应的数字值,并取整数,此时就把连续的电平幅值转化为离散的数字量。
- 细节:之前通过抽样已经获得了很多点,此时也就得到了很多时间点以及对应的电平值,对于这一部分离散的点,部分点的电平都千奇百怪,将一些浮点数、小数、整数都进行统一为整数,并且按照一定的分级标准,也就是一段一段来进行定义成整数。
3、编码
过程:把量化的结果转换为与之对应的二进制编码。
- 细节:通过步骤二将量化之后得到的一系列整数的电平浮值作为电平、信号的状态,此时使用到了码元和比特的转换,每一种信号状态就对应一种码元。若是有 16 种信号状态,那么就有 16 中离散的电平浮值,这就是编码的过程。
叙述整个抽样、量化、编码的过程:

①抽样(或采样):可以看到模拟信号都是高低起伏的,首先对其进行周期性扫描来进行抽样。对于每一个相等的周期来进行信号采样,此时看对应的电压是多少。【将时间上连续的信号,变成时间上离散的信号,采样过程中遵循采样定理,采样频率要 >=2 倍的模拟信号最最高频率】
②量化:将对应采样的电压,有小数、整数、负数来按照一定的标准分级转化为数字值,如 5.2 转为 5V。【将连续的电平值转为离散的数字量】
③编码,实际最终如图是是使用的 16 种信号状态,可以采用四进制四位的二进制编码表示 16 种离散状态,这个就是编码的结果。
模拟数据调制为模拟信号(涉及到调制、解调)
原因:在这个传输过程中,可能信道十分的长,可能环境十分恶劣会导致我们所传输的模拟信号收到一定的衰减,需要将模拟信号调制成一个新的模拟信号,来应对接下来的一些危险。
过程:为了实现传输的有效性,可能需要较高的频率。这种调制方式还可以使用频分复用技术,充分利用带宽资源。在电话机和本地交换机所传输的信号是采用模拟信号传输模拟数据的方式:模拟的声音数据是加载到模拟的载波信号当中传输的。
举例:同样以一开始的说话声音通过电塔发射器发射出去,若是要传输的距离十分远,那么我们本身频率若是不高,那么衰减到最后接收端就可能会识别不出来,所以我们需要将这个模拟信号进行调制成一个比较强大的模拟信号也就是高频的信号,这种高频信号不易受损,损害也比较小,即使收到损害,也可以清楚的恢复出它原来的基带信号,最终通过解调器来解调成基带信号,最终发给收音机,此时就可以听到原始的声波了。

1.5、数据交换方式
1.5.1、为什么要进行数据交换方式?

①若是我们使用的都是有线的网络,那么使得两两互连,那么每两个都可以连接在一起,此时就形成下面 Cn2 条链路,比较低效和浪费资源。
②接着我们在多台机子中间使用交换设备,通过交换中心来进行数据的集中与传送(可以是路由器、交换机),若是在局域网就是交换机,若是广域网就是路由器,那么此时只需要 n 条链路。
③若是交换设备更多的时候,此时可以形成一个大的交换网络(多个交换设备),此时就能够将四面八方的计算机联系在一起。
1.5.2、了解数据交换方式
包含:电路交换、报文交换、分组交换。
- 其中报文交换、分组交换都是属于存储转发交换方式。
- 分组交换包含有:
数据报方式、虚电路方式。

1.5.3、方式一:电路交换(Circuit Exchanging)
1.5.3.1、电路交换的原理

电流交换的原理:在数据传输期间,源节点与目的节点之间有一条由中间节点构成专用物理连接线路,在数据传输结束之前,这条线路一直保持。
1.5.3.2、电路交换的三个阶段
电路交换的阶段包含以下三个阶段:
阶段 1:建立连接(呼叫 / 电路建立)

过程:首先主机 A 会与最近的交换设备连接,接着执行路由选择算法选择下一台交换设备,之后的交换设备也是如此,最终交换设备 D 转发呼叫请求给到主机 B。
阶段 2:通信(数据传输)
过程:主机 B 会响应主机 A 的请求,实际数据会原路返回发送方,中间经过的交换设备和来时一样。中间是全双工模式进行传输。
阶段 3:释放连接(不拆除电路)

过程:若是 A 想要和 B 断开,那么主机 A 会发送释放请求,直到主机 B 之后此时会接着返回释放请求,依次在回溯的时候相对应的中间设备也会依次断开连接,首先是 D,接着是 C、… 主机 A。
1.5.3.3、电路交换的特点
电路交换的特点:独占资源,用户时钟占用端到端的固定传输带宽,适用于远程批处理信息传输或系统间接实时性要求高的大量数据传输的方式。
- 独占资源介绍:在 a 与 b 之间通信过程中是不能够被其他主机占用。
适合场景:实时性要求高的大量数据传输。
- 若是只是传送很小的一块数据块,那么刚开始很长一段时间的建立连接过程就被浪费掉了。
1.5.3.4、电路交换的优缺点
电路交换的优缺点:

- 其中无数据存储能力,难以平滑通信量解释:在电路交换中的设备是没有存储能力的,若是有大量数据涌入到这些交换设备当中,这些交换设备没有办法存储,就很难应付数据的激增,可能导致一些数据的丢失等。
一句话概括优点:时延小、顺序传送,实时性强,采用全双工通信,不会被抢占信道,适用于数字或模拟信号,控制简单。
一句话概括缺点:初始建立连接时间长;信号独占导致空闲时无法让出;一旦中间传输设备一个出了那么就需要重新创建连接;不同终端很难进行交互;无法进行纠错与差错控制。
1.5.3、方式二:报文交换
1.5.3.1、认识报文交换与原理
报文:报文(Message)是网络中交换与传输的数据单元,即站点一次性要发送的数据块。报文包含了将要发送的完整的数据信息,其长短很不一致,长度不限且可变。
- 发送的文件、语言都可以是一个报文,指的是单次要发送的数据块,长度是很不确定的,且可变的。
报文交换的原理:无需在两个站点之间建立一条专用通路,其数据传输的单位是报文,传送过程采用的是存储转发方式。
1.5.3.2、报文交换的传输过程
整个报文交换的传输过程:
①首先将传输的信息 + 报文头此时构成报文(包含目的地址 + 源地址)后发送出去。

②注意报文交换中采用的是存储 - 转发的过程,报文到达交换设备 A 这里时,会先收下整个报文,暂存报文,当检查有无差错后(一个差错控制),发现是没有问题的报文,此时就会等待输出的电路空闲时,利用路由信息找到下一个节点地址,并且传送给下一个节点。
- 路由信息:指的是交换设备自己维护的一张路由表,可以根据路由表来确定最短的主机距离的下一个交换设备。

③接着通过当前交换设备 A 中的路由表确定下一个要到达的交换设备 B,此时就进行转发出去。
这里可以看出对于节点之间的一条链路,并不是独占的,而是所有人可以共享的。对于这个链路会有限制的宽度,也就是指定的带宽范围,若是传输的报文过多时,那么就会看出这个线路是比较繁忙的。

1.5.3.3、报文交换的优缺点
报文交换的优缺点:

一句话概括优点:无需建立连接;多个报文可共享线路以及动态分配线路;可以提供多目标服务,一个报文可以发往多个目的地址;实现交换转发灵活特点。
一句话概括缺点:实时性比较差,只适用于数字信号,由于报文长度没有限制会导致部分极端情况下报文会存储在磁盘导致增加了传送时延,并且要适当扩大缓冲区。
1.5.4、方式三:分组交换(Packet Exchanging)
1.5.4.1、认识分组交换与原理
目前互联网最常使用的交换方式。
分组:大多数计算机网络不能够连续地传输任意长的数据,所以实际上网络系统把数据分割成小块,然后逐块发送,这种小块就称作分组(Packet).
分组交换的原理:分组交换与报文交换的工作方式基本相同,都是采用存储转发方式,形式上的主要差别在于,分组交换网中要限制所传输的数据单位的长度,一般选择 128B。发送节点首先要对从终端设备送来的数据报文进行接收、存储,而后要将报文划分成一定长度的分组,并以分组为单位进行传输和交换、接收节点将收到的分组组装成信息或报文。
1.5.4.2、分组交换过程
首先发送源这里有一块大数据块(若是不切割,就是报文方式):

由于我们这里是分组交换,此时我们会将大的数据块切割成一个个的数据块,在每一个小的数据块上加上相应的控制信息(源和目的地址、编号),此时可以构成分组,接着发送出去。
- 编号的目的:分组若是从源主机发送出去,那么对于不同的分组可能会选择不同的线路交换方式,并且最终到达目的地的时候分组顺序也会不一样,所以需要使用编号来进行标识。

当交换设备收到分组之后,就会对分组进行差错检测以及路由选择,给它选择下一条的路径,交换设备选择一条相对更好的线路后发送出报文时,在源地址的主机也同时发送出来一小块数据块。

1.5.4.3、分组交换的优缺点

一句话概括优点:无需提前建立专用连接线路,可以随时发出分组;线路利用率高;分组的长度固定,缓冲区大小也固定;实现并行,后一个分组的存储与前一个分组的转发进行并行操作,由于传输一个分组比报文小,减少了等待发送时间。减少了传输时延;由于分组短小适用于计算机突发式数据通信。
一句话概括缺点:虽然每个转发传输时间比报文交换时间短,但是依旧存在转发时延;对于每一个分组都要加上控制信息,实际上降低了通信效率,增加了处理时间;若是采用数据报可能会出现失序,丢失或重复分组情况,最终需要对所有分组进行排序;若是采用虚电路虽然没有顺序问题,但是需要提前建立连接线路。
1.5.4.4、分组交换的两种方式(数据报、虚电路)
分组交换包含两种交换方式:数据报、虚电路
数据报
数据报发送的详细过程
数据报方式的详细过程:
1、源主机(A)将报文分成多个分组(每个分组加上相应的控制信息),依次发送到直接相连的结点(A),这里是唯一的一条路径所以没有办法进行选择。
2、结点 A 收到分组后,会对每个分组进行差错检测和路由选择,不同分组的下一条结点可能不同。
- 此时 P1 分组先走选择了结点 C,那么此时下次发送 P2 分组会发送给结点 D(由于结点 C 当前可能比较堵)。

3、当结点 C 收到分组 P1 后,对分组 P1 进行差错检测,若是正确则会向结点 A 发送确认消息,此时结点 A 收到结点 C 的确认时会丢弃掉分组 P1 的副本。
- 结点 D 同样也会对 P2 进行差错检测处理,同样发送给结点 A 一个确认消息,结点 A 接收到确认消息后会丢弃掉 P2 的副本。
4、最终所有的分组到达了主机 B,那么主机 B 会按照编号来进行重组所有的分组。
数据报方式的特点
数据报方式的特点:
1、数据报方式为网络提供无连接服务。发送方可以随时发送分组,网络中的结点可随时接收分组。
无连接服务:不事先为分组的传输确定传输路径,每个分组独立确认传输路径,不同分组传输路径可能不同。
2、同一报文的不同分组达到目的结点时可能发生乱序、重复与丢失的问题,但是最终都会进行分组重排,无需担心混乱的问题。
3、每个分组在传输过程中都必须携带源地址和目的地址以及分组号。
4、分组在交换结点存储转发时,需要排队等候处理,这会带来一定的时延。当通过交换结点的通信量较大或网络发生拥塞时,这种延时会大大增加,交换结点可能根据情况丢弃部分分组。
- 可以放心的是若是丢弃了部分分组,会有一定的机制让分组再重新发送。
5、网络具有冗余路径,当某一交换结点或一段链路出现故障时,可相应地更新转发表,寻找一条路径转发分组。
- 对于故障的适应能力强,适用于突发性通信,不适合长报文、会话式通信。
虚电路方式
认识虚电路及三个阶段
虚电路将数据报方式和电路交换方式结合,来发挥了两者的优点:

虚电路:一条源主机到目的的主机类似于电路的路径(逻辑连接),路径上所有结点都要维护这条虚电路的建立,都维持一张虚电路表,每一项都记录了一个打开的虚电路信息。
其中也采用了电路交换方式,同样时包含三个阶段:

①建立连接(虚电路建立):源主机发送 “呼叫请求”,经过结点时,分组进行转发呼叫请求根据路由表,依次进行转发直到主机 B,此时主机 B 收到 “呼叫应答” 分组后才算建立连接。
- 注意只有一开始的时候才会需要进行路由转发,之后数据传输不需要进行路由,而是根据结点中的虚电路表来确定目标地址,在分组传输过程分组不需要携带目的地址、源地址,带上虚电路号即可。
只有当源主机发送的这个请求分组收到应答之后,它们的连接才算正式建立。

②数据传输阶段:每个分组携带虚电路号,分组号、检验和等控制信息,并不需要携带目的地址。
- ** 不携带目的地址的原因?** 当连接建立好之后,这个路径就唯一确定了,分组只能够沿着这一条路径走,没有必要将这个目的地址放进去,只需要沿着这个路线即可。
- 需要携带一个新的标识,就是虚电路号,这个虚电路号是唯一标识,用于表示从哪一条电路过来的。
- 虚电路号分组的意义:主要是如果主机 b 手动了大量的分组,在大量的分组中也有其他主机发过来的(包含占用其他虚电路发送过来的),此时主机 b 就会根据虚电路号,将这些分组进行一个分类,例如虚电路号为 1 的分组放一堆,2 的放一堆,此时两堆分组再进行下一步还原,最终还原成一个完整的报文交由给进程使用。
③释放连接: 源主机发送 “释放请求” 来拆除这个虚电路,主机 b 若是答应释放连接,就会返回一个应答,并且逐段的释放掉蓄电路。
虚电路特点
虚电路特点:
1、虚电路方式为网络层提供服务。源节点与目的结点之间建立一条逻辑连接,而非实际物理连接。
连接服务:首先为分组的传输确认传输路径(建立连接,路由转发),然后沿该路径(连接)传输系列分组,系列分组传输路径相同(路径相同),传输结束后拆除连接。
2、一次通信的所有分组都通过虚电路顺序传送,分组不需要携带源地址、目的地址等信息,包含虚电路号,相对数据报方式开销小,同一报文的不同分组到达目的结点时不会乱序、重复或丢失。
3、分组通过虚电路上的每个节点时,节点只进行差错检测,不需要进行路由选择。
4、每个节点可能与多个节点之间建立多条虚电路,每条虚电路支持特定的两个端系统之间的数据传输,可以对两个数据端点的流量进行控制,每个端点系统之间也可以有多条虚电路为不同的进程服务。
5、弱点:一段网络中某个结点或某条链路出故障而彻底失效时,则所有经过该节点或链路的虚电路将遭到破坏。
- 因为每个结点中都维护了虚电路表,那么当某个结点失效,那么相当于直接将一条虚电路连接断了,说明采用虚电路的可用性并不是特别高。
数据报与虚电路的对比

1.5.4、三种数据交换方式的选择

- 对于报文交换的存储转发实际上是串行的,而对于分组交换的存储、转发是并行处理的。
场景 1:若是传输数据量大,且传输时间远大于呼叫时,选择电路交换。电路交换传输时延最小。
场景 2:当端到端的通路有很多段的链路组成时,采用分组交换传送数据较为合适。【存储 - 转发并行传输】
场景 3:从信道利用率上来看,报文交换和分组交换优于电路交换,其中分组交换比报文交换的时延小,尤其适合于计算机之间的突发式的数据通信。
脑图时刻

二、传输介质
2.1、传输介质及分类
物理层传输介质:也叫做传输媒体 / 传输媒介,它就是数据传输系统中在发送设备和接收设备之间的物理通路。
- 之前的信道只是发送端和接收端的一个逻辑通路,在这里这个传输介质是实实在在存在的物理通路。
注意:传输媒体并不是物理层,传输媒体在物理层的下面,因为物理层是体系结构的第一层,因此有时称传输媒体为 0 层。在传输媒体中传输的是信号,但是传输媒体并不知道所传输的信号代表什么意思,但是物理层规定了电气特性,因此能够识别所传送的比特流。
- 在传输媒体层中只是单纯机械无脑的传递信号,仅仅只是用来做作为一个传输的物理通路,在这个物理层里,是可以根据这个电压来区分出这个数据到底是多少。
- 举例:若是看到 10v、15v 电压,就知道对应是数字 1,若是 0v 电压,那么对应数字 0。这个就是电气特性。
对于传输介质可以进行分类:导向性传输介质、非导向性传输介质,也可以称为导引与非导引。
导向性传输介质:电磁波被导向沿着固体媒介(铜线 / 光纤)传播。
- 举例:例如火车,是沿着固定的轨道来行驶的,也就是这个路径提前安排好了。

非导向性传输介质:自由空间,介质可以是空气、真空、海水等。
- 举例:例如飞机,在空中飞行的时候,虽然要遵循一定航线的方向,但是有时候也可以稍微偏离一些,是在一个自由空间当中行驶的,对应着非导向性的传输介质。

2.2、导向性传输介质
2.2.1、双绞线
介绍:双绞线是古老、又最常用的传输介质,由两根采用一定规则并排绞合的、相互绝缘的铜导线组成。
双绞线的组成:无屏蔽与屏蔽双绞线就是屏蔽双绞线多了一个屏蔽层。

- 铜线:两根导线,将两根导线相互绞合在一起,就像麻花一样。
- 绝缘层:在绞合的铜线外面套上一层绝缘层。
- 聚氯乙烯套层:是 PVC 材料,就是一个塑料套管,此时就构成了一条无屏蔽双绞线。
绞合的作用:可以减少对相邻导线的电磁干扰。
这里可以了解一下右手准则,若是对应两条相反方向的电流,它们产生的这个电磁波大小相等也是会互相抵消的。所以说对于我们这样一组两条铜线当中,电流是相反的产生的这个电磁波或者说电磁场就可以相互抵消,就不会互相影响到。(例如自己家的就不会影响到隔壁家的导线,来减少对相邻导线的电磁干扰)

为了进一步提高抗电磁干扰能力,可在双绞线的外面再加上一个由金属丝编织成的屏蔽层,这就是屏蔽双绞线(STP),无屏蔽的双绞线就称为非屏蔽双绞线(UTP)。

我们来看一下实际例子:下面一个是非屏蔽双绞线,另一个是屏蔽双绞线。
- 将非屏蔽双绞线打开后可以看到有 8 条线,有四组两两相绞合在一起的导线。
- 将屏蔽双绞线打开可以看到里面一层屏蔽层,这种就是加上了金属丝编织的屏蔽层,对于加上了金属丝编织的屏蔽层叫做屏蔽双绞线。

双绞线的特点:双绞线价格便宜,是最常用的传输介质之一,在局域网和传统电话中普遍使用。
应用场景:模拟传输和数字传输都可以使用双绞线,其通信距离一般为几公里 - 数十公里。
- 若是距离太远,对于模拟传输,要使用放大器来放大衰减的信号。
- 对于数字传输,要用中继器将失真的信号整形。
2.2.2、同轴电缆
组成部分:导体铜质芯线、绝缘层、网状编织屏蔽层和塑料外层构成。
按照同轴电缆分为两类:50Ω同轴电缆和 75Ω同轴电缆。
- 50Ω同轴电缆用于传送基带数字信号,又称为基带同轴电缆,它在局域网中得到了广泛应用;
- 75Ω同轴电缆主要用于传送宽带信息,又称为宽带同轴电缆,主要用于有线电视系统。
为什么叫做同轴?因为它这四个结构,是共用一个轴心或者说共用一条轴线的,可以看到下图中一根箭穿心可以从最中间把这四个穿开。

实际应用:机顶盒后面的接口、电视后面的接口

同轴电缆与双绞线的区别:由于外导体屏蔽层的作用,同轴电缆抗干扰性比双绞线好,被广泛用于传输较高速率的数据,其传输距离更远,但价格较双绞线更贵。
2.2.3、光纤
2.2.3.1、认识光纤和光电转换
出现原因:随着通信与计算机的高速发展,对于信息传输速率的要求也越来越高,例如看图片、视频的速度越来越快,能够一瞬间加载好。
与双绞线、同轴电缆区别:光纤实际上传递的是光脉冲,对于刚刚那两种,传递的是电脉冲,也就是说光纤里面实际是光波在走,而在同轴电缆里是电磁波在走。
光纤通信:利用光导纤维(简称光纤)传递光脉冲来进行通信,有光脉冲表示 1,无光脉冲表示 0,而可见光的频率大约是 108MHz,因此光纤通信系统的带宽远远大于目前其他各种传输媒体的带宽。
光纤是如何实现光电转换呢?
- 光纤由于传递的是光脉冲,那么在发送端和接收端过程中实际上实现一个光电转换的过程,因为我们知道计算机发出来的数据是 0101,并且放出来的信号是电信号的形式,所以在发送端应该有个东西能够将电脉冲转换为光脉冲。
- 光纤在发送端有光源,可以采用发光二极管或半导体激光器,它们在电脉冲作用下能够产出光脉冲;在接收端也需要实现光电转换,在这里使用光电二极管来做成光检测器,在检测到光脉冲时可还原出电脉冲。
2.2.3.2、光纤的组成
光纤的组成实现:主要由纤芯(这个是实心的)和包层构成。
- 光是在纤芯中传导,而不是在包层里传导。
- 纤芯与包层的折射率区别:芯线的折射率会更高一点,所以说在高折射率的这个介质输入到低折射率的介质时候,会有折射角 > 入射角的现象,如果入射角足够大,就会出现全反射,也就是说光纤碰到包层的时候会直接回弹回来没有再折射出现的光波,所以损害非常小。整个反射过程就会不断的重复,因此光就香一个弹球一样,弹来弹去,沿着这个光纤进行传输。

- 图中仅仅只有一条光线,若是入射角 > 这个临界值的话,那么就可以实现全反射,那么我们就可以射入多条光线。
2.2.3.3、根据是否可以输入多条光纤分类(多模光纤、单模光纤)
此时可以根据是否输入多条光线来进行分类:多模光纤、单模光纤。
多模光纤:可以在发送端的时候发射出很多光线,这些光线可以通过光纤不断的弹来弹去,但是在弹的过程中,会有一定的损耗,
- 问题:虽然说会发生全反射,但是即使发生了全反射,还是会有一些光波收到噪声的影响,或者其他电磁波的干扰。若是传输距离十分远的话,失真就会很严重,输出脉冲波形不明显,就识别不出来输入的脉冲了。
- 适合场景:近距离传输。

单模光纤:是把这个光纤的直径减小到只有一个光的波长,所以说这个光纤就像一根光线一样,沿着这个直线传播,直接射过去,那么输出的脉冲其实和输入的脉冲几乎就差不多了,因为它们没有发生反射,对于广播的能量也没有什么损耗。

2.2.3.4、对比多模光纤以及单模光纤(近距离观察光纤)

光纤图如下所示:可以看到左图就是现实生活中的光纤,每一根光纤里面都是有光纤的,右图是在实际应用中的光缆,在每一根光缆里少则有一根光纤,多则有包含有十至百根光纤,一根光纤实际只有 0.2 毫米,为了让光在传输过程中不容易被弄坏,不容易损耗,此时就会把多跟光纤捆成一块,也就是捆成一个光缆,然后再填上一些填充物,就能够构成一个完成的抗压力非常强的一个光缆。

2.2.3.4、光纤的特点
1、传输损耗小,中继距离长,对于远距离传输特别经济。
- 中继距离:一些传输损耗比较大的会隔一段距离就放一个中继器,而对于光纤的话由于损耗十分小,所以中继距离很长,中间不需要用中继器来放大我们的波形。
2、抗雷电和电磁干扰性能好。
3、无串音干扰,保密性好,也不易窃听或截取数据。
4、体积小,重量轻。
- 里面传递的是光波,光波的带宽非常大,并且其中每一条光纤通信量都十分大,如果传递相同通信量的话,双绞线和光纤相比,双绞线相对十分笨重,非常粗。
2.3、非导向性传输介质
为什么需要非导向性传输介质呢?
- 试想若是没有非导向性传输介质,我们在打电话的时候也要接一根十分长的导线,并且所有人的手机都要连着这样的一条线嘛。有了非导向性传输介质,我们可以随时随地拿出来进行使用。
常考的包含有三种:无线电波、微波、红外线 / 激光。
2.3.1、无线电波
信号方向:其信号是可以向所有方向来进行传播的,如下图是涵盖所有方向的:

优点:正是有这样的一个特点,我们就可以在有效距离内对于使用无线电波的接受设备无需对应某个方向来和无线电波的发射者进行通信,十分简化我们通信的连接。
特性:具有较强的穿透能力,可以传远距离,广泛用于通信领域(如手机通信)。
2.3.2、微波
介绍:微波通信频率较高、频段范围宽,因此数据率很高。
信号方向:信号固定方向传播。

主要包含两种通信的应用:地面微波接力通信、卫星通信。
①地面微波接力通信
说明:地球上有一些中继站,每个中继站可以朝向指定的下一个中继站发出信号,然后不断循环,最终来完成地球上地面上的接力通信过程。

②卫星通信
说明:实际将地面上的中继站移到空中去了,此时就构成了同步卫星,这个卫星起到了一个中继站的作用,它可以进行信号的转发,之前使用中继站来进行转发可能需要很多个,而对于卫星通信,我们只需要三个同步卫星来转发微波信号也可以实现全球范围的通信。
优点:
1、通信容量大。
2、距离远。
3、范围广。
4、光波通信和多址通信。
缺点:
1、传播时延长(250-270ms)
2、受气候影响大(eg:强风、太阳黑子爆发、日凌)
3、误码率较高。
- 误码现象就是指最后的接收端识别不出来这个波形,识别不出来码元。
4、成本高。
2.3.3、红外线、激光
信号方向:信号固定方向传播。

介绍:把要传输的信号分别转换为各自的信号格式,即红外光信号和激光信号,再在空间中传播。
- 与微波进行对比:微波不需要转格式,对于红外线和激光需要转格式。
脑图时刻

三、物理层设备
3.1、中继器设备
3.1.1、认识中继器设备
诞生原因:由于存在损耗,在线路上传输的信号功率会逐渐衰减,衰减到一定程度时造成信号失真,因此会导致接收错误。

功能:再生数字信号。(对信号进行再生和还原,对衰减的信号进行放大,保持与原数据相同,以增加信号传输的距离,延长网络的长度)
- 这里是再生,而不是普通的放大,因为要把这个信号进行一个重新的整形,然后再还原出来,实现一个放大的效果。
- 这里仅仅只是针对于数字信号放大, 若是对于模拟信号放大的则是叫做放大器。
3.1.2、中继器的两个端口以及两端规定
中继器的有两个端口,其中一个端口来进行输入原始的信号,能够原本衰减的很弱的信号进行一个放大和整形,进行一个再生还原,从另一个端口放出来,此时信号与之前开始一样强烈。
中继器两端规定:
- 完全相同的两类网络的互连,这两类网络其实就是指同一种类型的网段,网段也分为 a、b、c、d 集中类型,若是要两端要被这个中继器连在一块的话,那么两端的网段应该是同时为 a 或者同时为 b。两端的速率也要保持相同。【两端网段必须相同,速率要一致】
- 中继器只将任何电缆段上的数据发送到另一段电缆上,仅仅作用于信号的电气部分,并不管数据中是否有错误数据或者不适合网段的数据。【仅仅用于传输,不会做其他如存储转发等额外工作】
- 两端可连相同媒体,也可连接不同媒体。例如,一段可以双绞线,另一端也可以是光纤或者通用电缆都可以。【两端媒体可以相同或不同】
- 中继器两端的网段一定是同一协议。【两端协议相同】
- 原因是中继器不会存储 - 转发,不像一些链路层设备、网络层设备可以进行存储转发。一旦不同协议,中继器不知道如何处理。
3.1.3、理解 5-4-3 规则
理解 5-4-3 规则:网络标准中都对信号的延迟范围作了具体的规定,因而中继器只能在规定的范围内进行,否则会网络故障。
- 不遵守规则情况,由于数字信号再生的一个过程是需要时间的,若是信号出发经过很多个中继器,那么每个都去处理那么合起来的时间延迟就会非常长,这对于我们用户来说是不想碰到的。
- 措施:那么我们就会对中继器的使用次数来进行限制。

接着来分别对 5、4、3 进行描述:
①其中的 5 指的是最多不超过五个网段,下面画圈的就是五个网段:

②其中 4 指的是,在五个网段中最多只能有四个物理层的网络设备,可以是中继器或者是集线器都可以。

③其中 3 指的是可以挂接的三台计算机

3.2、集线器(多口中继器)
3.2.1、认识集线器的功能
实际是一种多端口的中继器,对于中继器、集线器在功能上是非常类似的,在传输的过程当中,信号可能会收到损耗和衰减,所以为了防止信号到接收端已经识别不出来,那么就应该在这个路上放上一些设备。
功能:再生,放大信号。
集线器的功能:对信号进行再生放大转发,对衰减的信号进行放大,接着转发到其他所有(除了输入端口外)处于工作状态的端口,来增加信号传输的距离,延长网络的长度,不具备信号的定向传送能力,是一个共享式设备。
下面是集线器的图示,可以看到通过集线器一个节点可以连接到多台主机之上:

常见的拓扑结构:星型拓扑。
3.2.2、理解集线器可以扩展长度范围,共享设备原因,冲突域平分带宽问题
问题 1:集线器可以增加信号传输的距离,扩展网络的长度和范围的原因?
- 若是主机 A 与主机 B 通信,原本只需要 100 米,而此时由于通过集线器来进行访问,此时就变成了 200 米。

问题 2:集线器是共享设备的原因?
- 主要在说的就是广播。此时有五个主机连在集线器上,若是主机 A 发送的信号给到了集线器之后,集线器先进行放大信号,之后会从所有的端口转发出去,这些端口是要处于工作状态的,虽然说四个端口都可以收到这个信号,但是要不要对这个信号进行下一步处理则是需要看这个信号还原出的数据是否是自己需要的,若是发现这个数据的目的地址就是自己,那么就留下,其他主机发现不是自己可以直接丢弃。
- 但是对于这种广播形式,容易产生冲突!
问题 3:集线器由于广播形式产生冲突的原因?
- 若是此时一台主机 A 要与一台主机进行通信,另一台主机 B 也要与另一台主机进行通信,那么这两个主机同时发送的信号数据到集线器时,就会出现冲突和碰撞。
- ** 遇到碰撞如何解决?** 停下来等待,等一个随机的时间他们俩再发送数据,直到不发生碰撞为止才能够正确的转发出去数据,所以说集线器时一个大的冲突域,是不能分割冲突域的!

一旦发生碰撞需要等待一个随机事件再发送数据,那么若是它们要同时通信的话,就会使所有工作的主机平分带宽,若是当前的集线器是 10MB/s,那么若是五台计算机要同时通信,此时平分下来每个人就是 10/5 = 2MB/s 一个主机。
缺点:若是大家同时工作,每个主机获得的带宽很低,所以导致这个集线器的效率也非常低,每个人的通信量或者通信速度也很慢。
整理者:长路 时间:2023.7.26-29
整理者:长路 时间:2023.7.26