题38
题目
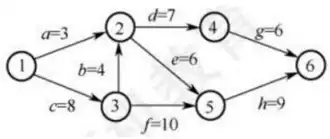
Q:【2019 统考真题】下图所示的 AOE 网表示一项包含 8 个活动的工程. 活动

A. 3 和 7
B. 12 和 12
C. 12 和 14
D. 15 和 15
分析
A:最早发生时间是要取大的那个
解
C
活动
活动
常规方法: 按照关键路径算法算得到下表。

从表中可知,活动
Q:【2019 统考真题】下图所示的 AOE 网表示一项包含 8 个活动的工程. 活动

A. 3 和 7
B. 12 和 12
C. 12 和 14
D. 15 和 15
A:最早发生时间是要取大的那个
C
活动
活动
常规方法: 按照关键路径算法算得到下表。

从表中可知,活动