题2
题目
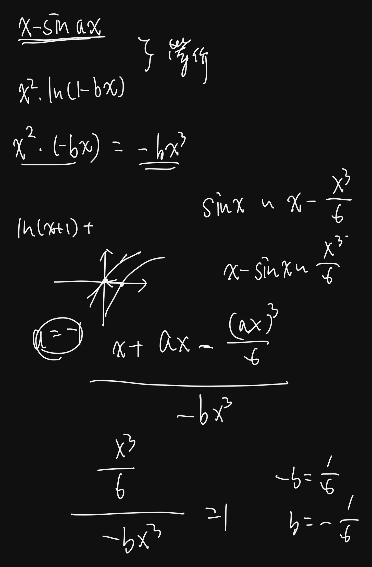
[!question]+
(2) 当
(A)
(B)
(C)
(D)
分析
[!NOTE]+
泰勒公式,奇函数只有奇次项,除了tan和ln都有阶乘和正负的交错
解
[!done]-
我选成了C,因为这里的负号写掉了

Jun 19, 20251 min read
[!question]+
(2) 当
(A)
(B)
(C)
(D)
[!NOTE]+
泰勒公式,奇函数只有奇次项,除了tan和ln都有阶乘和正负的交错
[!done]-
我选成了C,因为这里的负号写掉了
