题31
题目
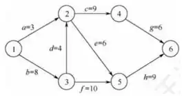
Q:【2013 统考真题】下列 AOE网表示一项包含 8 个活动的工程. 通过同时加快若干活动的进度可缩短整个工程的工期. 在下列选项中, 加快其进度就可缩短工程工期的是 ( ).

A.
B.
C.
D.
分析
A:这d和f这里,会产生两个并行的路径,我觉得关键是这个
其实我不太读懂这个题目的意思,我只是觉得这个点比较特殊,所以我选择这个
解
C
找出 AOE 网的全部关键路径为
根据性质,只有当所有关键路径的活动时间同时减少时, 才能缩短工期。
即正确选项中的路径必须能涵盖所有的关键路径。
选项 A 和