题17
题目
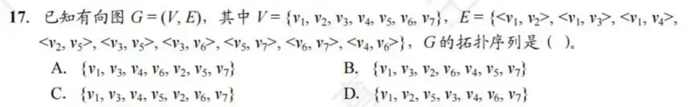
已知有向图
A.
B.
C.
D.

分析
和这个题9是一样的,手动模拟的题目

解
A
拓扑序列的过程: 找到入度为 0 的顶点, 删除该顶点及其所有出边, 并将顶点加入拓扑序列,重复直至所有顶点都加入拓扑序列。选择入度为 0 的顶点
Jun 19, 20251 min read
已知有向图
A.
B.
C.
D.

和这个题9是一样的,手动模拟的题目

A
拓扑序列的过程: 找到入度为 0 的顶点, 删除该顶点及其所有出边, 并将顶点加入拓扑序列,重复直至所有顶点都加入拓扑序列。选择入度为 0 的顶点