题20
题目
[!question]+
证明
分析
[!NOTE]+

解
[!done]-
证 (法一) 考虑辅助函数
由于
故
计算
由于当
等号在
因此,当
综上所述,
(法二) 在法一中求得
由于当
故
其余同法一.
(法三) 首先,
由泰勒中值定理,
若能证明
由于当
故我们只需要证明
考虑
当
综上所述, 原不等式成立.
Jun 19, 20255 min read
[!question]+
证明
[!NOTE]+

[!done]-
证 (法一) 考虑辅助函数
由于
故
计算
由于当
等号在
因此,当
综上所述,
(法二) 在法一中求得
由于当
故
其余同法一.
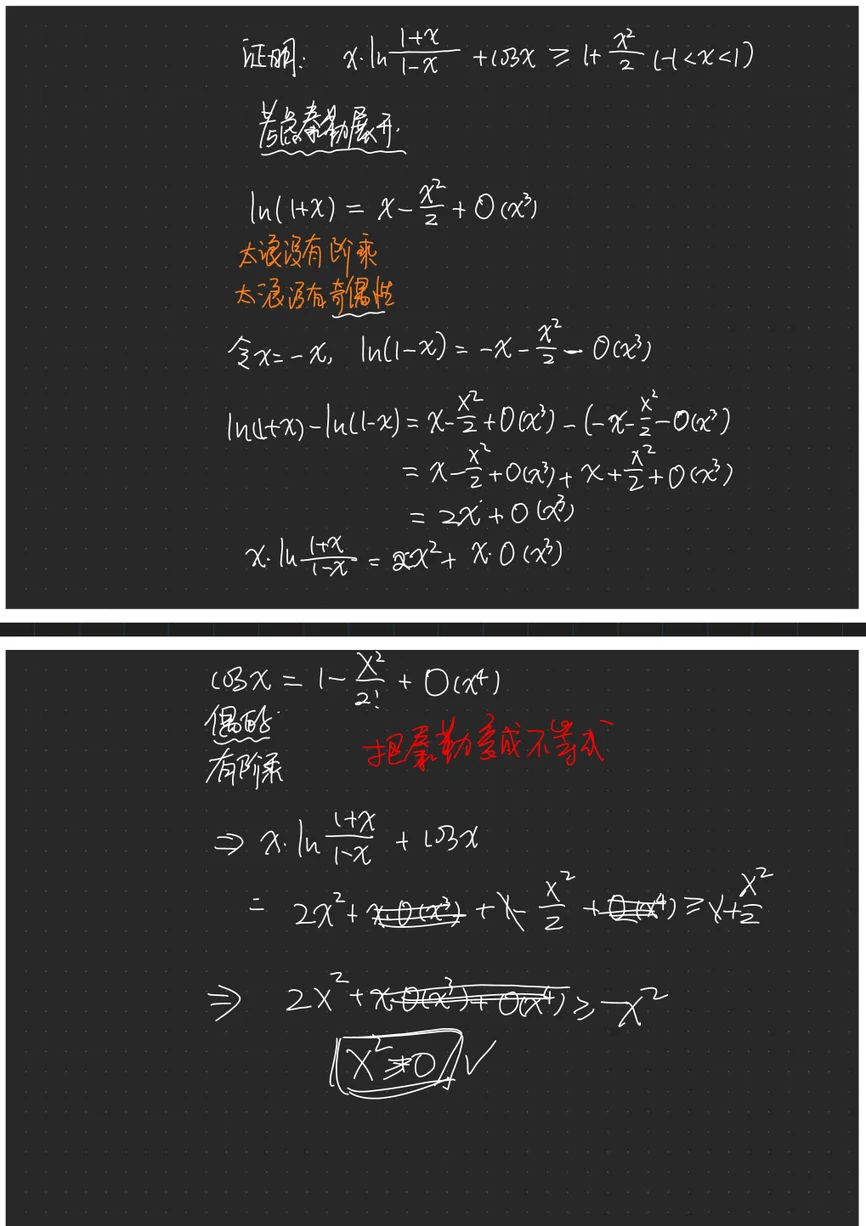
(法三) 首先,
由泰勒中值定理,
若能证明
由于当
故我们只需要证明
考虑
当
综上所述, 原不等式成立.