题20
题目
[!error]+
Q:【2021 统考真题】若某二叉树有 5 个叶结点,其权值分别为
A. 89
B. 200
C. 208
D. 289
分析
[!NOTE]+
A:知道叶结点个数,知道是二叉树
这个哈夫曼树的构造应该是唯一的
注意学会哈夫曼树是怎么构造的
和题04对比起来看,那个是加权平均,这是带权路径,也就是最常见最普通的哈夫曼树
解
[!done]+
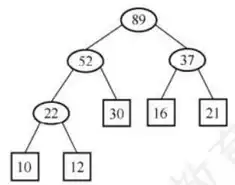
B
对于带权值的结点, 构造出哈夫曼树的带权路径长度 (WPL) 最小, 哈夫曼树的构造过程如下图所示。
求得其



