例4.11
题目
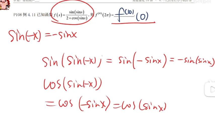
P108 已知函数
分析
邂逅遗憾认为是好题
一个函数如果是以三角函数的各种复合组合出现,这个函数肯定是个周期函数同时一般带着奇偶性,所以就要想尽办法往上面凑
奇函数求导是偶函数,偶函数求导是奇函数,奇偶性在求导的时候得到的结果会交换

解
【解】应填 0 .
因为
又
Jun 19, 20252 min read
P108 已知函数
邂逅遗憾认为是好题
一个函数如果是以三角函数的各种复合组合出现,这个函数肯定是个周期函数同时一般带着奇偶性,所以就要想尽办法往上面凑
奇函数求导是偶函数,偶函数求导是奇函数,奇偶性在求导的时候得到的结果会交换

【解】应填 0 .
因为
又