题47
题目
Q:【2019 统考真题】某设备以中断方式与 CPU 进行数据交换, CPU 主频为
A.
分析
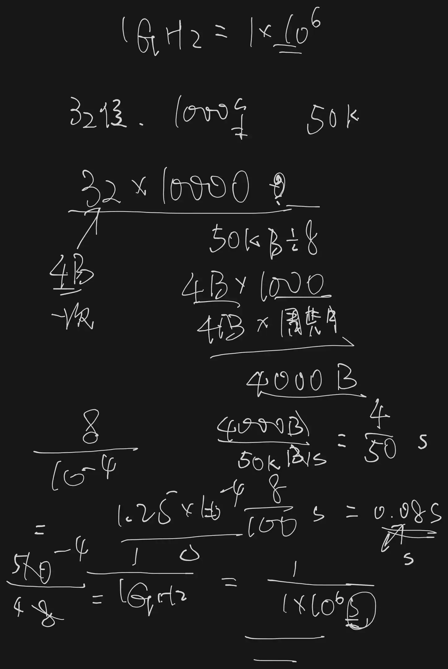
A:我是算这个东西占了多少时间,然后平摊到一个主频里面,看比例

但是好像有一些计算上的错误
题11
解
A
设备接口中的数据缓冲寄存器为 32 位,即一次中断可以传输

Q:【2019 统考真题】某设备以中断方式与 CPU 进行数据交换, CPU 主频为
A.
A:我是算这个东西占了多少时间,然后平摊到一个主频里面,看比例

但是好像有一些计算上的错误
题11
A
设备接口中的数据缓冲寄存器为 32 位,即一次中断可以传输
