题18
题目
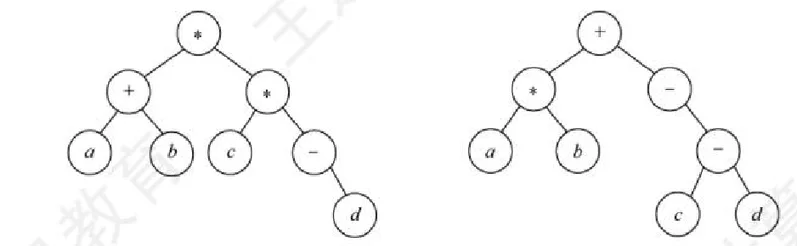
【2017 统考真题】请设计一个算法, 将给定的表达式树 (二叉树) 转换为等价的中级表达式 (通过括号反映操作符的计算次序) 并输出。例如, 当下列两棵表达式树作为算法的输入时:

输出的等价中级表达式分别为 (a + b) * (c * (-d)) 和 (a * b) + (-(c - d)) 。二叉树结点定义如下:
typedef struct node {
char data[10]; // 操作数或字符
struct node *left, *right;
} BTree;要求:
- 给出算法的基本设计思想。
- 根据设计思想, 采用 C 或 C++语言描述算法, 关键之处给出注释。
分析
解
- 算法的基本设计思想。
表达式树的中序序列加上必要的括号即为等价的中缀表达式。可以基于二叉树的中序遍历策略得到所需的表达式。
表达式树中分支结点所对应的子表达式的计算次序, 由该分支结点所处的位置决定。为得到正确的中缀表达式, 需要在生成遍历序列的同时, 在适当位置增加必要的括号。显然, 表达式的最外层(对应根结点)和操作数(对应叶结点)不需要添加括号。
- 算法实现。
将二叉树的中序遍历递归算法稍加改造即可得本题的答案。除根结点和叶结点外, 遍历到其他结点时在遍历其左子树之前加上左括号, 遍历完右子树后加上右括号。
void BtreeToE(BTree *root) {
BtreeToExp(root, 1); // 根的高度为 1
}
void BtreeToExp(BTree *root, int deep) {
if (root == NULL) return; // 空结点返回
else if (root->left == NULL && root->right == NULL) // 若为叶结点
printf("%s", root->data); // 输出操作数, 不加括号
else {
if (deep > 1) printf("("); // 若有子表达式则加一层括号
BtreeToExp(root->left, deep + 1);
printf("%s", root->data); // 输出操作符
BtreeToExp(root->right, deep + 1);
if (deep > 1) printf(")"); // 若有子表达式则加一层括号
}
}