第一步:分离出真分式
在上式中,当
我们可以类比,分子小于分母的分数,被称为真分数。例如,
正如我们可以把一个假分数简化成一个整数加上一个真分数:
方法是用
同理,当
注:
对于学习过进制的同学,可以更好地理解这一点。如果我们站在10进制的角度来看,123其实是一个十进制的“多项式”:
因此,我们可以把
这个多项式看成一个
现在,我们看看如何把一个假分式化简成一个多项式加上一个真分式的形式。
我们小学中学到的除法式是这样的:

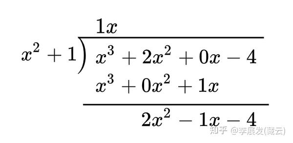
分式除法跟这个是一样的。设求解的分式如下:
首先,两个式子中的项按
用分式除法写下来:

再继续除:

长除法的结果应该怎么放位置
余数是除不够的,自然就是分子
整除的结果自然就是在上面
左边是分母
因此:
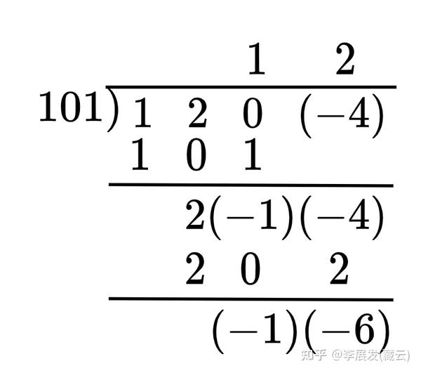
如果你对这种方法很熟悉,或者能够理解前面“注”中进制的角度,你可以直接像小学除法式那样除,我们把
