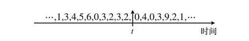
题52 题目 [!question]+ Q:【2016 统考真题】某进程访问页面的序列如下所示。 若工作集的窗口大小为 6,则在 t 时刻的工作集为( )。 A. {6, 0, 3, 2} B. {2, 3, 0, 4} C. {0, 4, 3, 2, 9} D. {4, 5, 6, 0, 3, 2} 分析 [!NOTE]+ A:什么叫做工作集,这个概念我不清楚 解 [!done]+ A 在任意时刻 ,都存在一个集合,它包含所有最近 次 (该题窗口大小为 6 ) 内存访问所访问过的页面。这个集合 就是工作集。 题中最近 6 次访问的页面分别为 ,去除重复的页面,形成的工作集为 。