题13
题目
Q:已知大根堆
A. 2 B. 3 C. 4 D. 5
分析
A:堆的删除过程是通过交换,然后下沉实现的
居然第一次比较是两个叶子结点的比较,小根堆也是这样吗,小根堆也是的,每次是从左根右里面最小的那个进行替换
好的,我们来模拟一下从以下小根堆中删除根节点(最小元素)的过程:
1
/ \
2 3
/ \ / \
5 4 8 6
/ \
7 9步骤1:用最后一个节点替换根节点
首先,我们将最后一个节点(值为 9 的节点)的值复制到根节点,并将最后一个节点删除:
9
/ \
2 3
/ \ / \
5 4 8 6
/
7 步骤2:向下调整新的根节点
现在,我们需要将新的根节点(值为 9 的节点)向下调整到合适的位置,以维护小根堆的性质。
- 比较根节点与它的子节点: 节点
9与它的子节点2和3进行比较。 - 选择最小的子节点: 节点
2的值最小。 - 交换节点: 将节点
9与节点2交换位置:
2
/ \
9 3
/ \ / \
5 4 8 6
/
7 - 继续向下调整: 现在,节点
9成为了节点2的左子节点。我们重复上述过程,比较节点9和它的子节点5和4。 - 选择最小的子节点: 节点
4的值最小。 - 交换节点: 将节点
9与节点4交换位置:
2
/ \
4 3
/ \ / \
5 9 8 6
/
7 - 继续向下调整: 现在,节点
9成为了节点4的右子节点。我们再次重复以上过程,比较节点9和它的子节点7。 - 选择最小的子节点: 节点
7的值最小。 - 交换节点: 将节点
9与节点7交换位置:
2
/ \
4 3
/ \ / \
5 7 8 6
/
9 此时,节点 9 已经成为了一个叶子节点,不需要再进行向下调整。
解
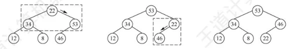
B
删除堆顶 62 后, 将堆尾 22 放入堆顶, 然后自上而下调整。
首先 34 与 53 比较 (第一次比较), 较大者 53 与根 22 比较 (第二次比较), 53 被换至堆顶; 22 只有一个孩子, 直接与其左孩子 46 比较 (第 3 次比较), 22 与 46 交换, 至此大根堆调整结束, 具体过程如下图所示。
