题4
题目
Q:设有
A. 图的边数一定大于
B. 图的权值最小的边一定有多条
C. 图的最小生成树的代价不一定相等
D. 图的各条边的权值不相等
分析
A:最小生成树,每次选择边权最小、同时不构成回路的边
解
A
若图的边数小于
若无向连通图的边数等于
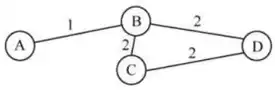
若最小生成树不唯一,则一定存在权值相等的边, 但未必是权值最小的边, 如下图所示, B 错误。
最小生成树可能不唯一, 但代价一定相同,
当图的各边的权值互不相等时,图的最小生成树是唯一的,

Q:设有
A. 图的边数一定大于
B. 图的权值最小的边一定有多条
C. 图的最小生成树的代价不一定相等
D. 图的各条边的权值不相等
A:最小生成树,每次选择边权最小、同时不构成回路的边
A
若图的边数小于
若无向连通图的边数等于
若最小生成树不唯一,则一定存在权值相等的边, 但未必是权值最小的边, 如下图所示, B 错误。
最小生成树可能不唯一, 但代价一定相同,
当图的各边的权值互不相等时,图的最小生成树是唯一的,
