题8

题目

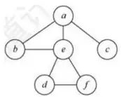
如下图所示, 在下面的 5 个序列中, 符合深度优先遍历的序列个数是 ( ).

  1. aebfdc
  2. acfdeb
  3. aedfcb
  4. aefdbc
  5. aecfdb
    A. 5
    B. 4
    C. 3
    D. 2

分析

仅 1 和 4 正确。以 2 为例,遍历到 之后,与 邻接且未被访问的结点为空集,所以应为 的邻接点 入栈。以 3 为例,因为遍历要按栈退回,所以是先 ,而不能先

D