题17

题目

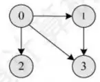
【2015 统考真题】设有向图 ,顶点集 ,边集 . 若从顶点 开始对图进行深度优先遍历,则可能得到的不同遍历序列个数是 ( ).
A. 2
B. 3
C. 4
D. 5

分析

会有不同的情况是因为不知道邻点加入的先后顺序
把图画出来以后手动模拟

画出该有向图,如下图所示。采用图的深度优先遍历,共有 5 种可能: ,