题34

题目

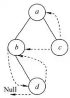
Q:【2010 统考真题】下列线索二叉树中 (用虚线表示线索), 符合后序线索树定义的是 ( )
A.
B.
C.
D.

分析

A:左指针,是左孩子或者前驱
右指针,是右孩子或者后继,我的说法对吗?
后序遍历的顺序是左右根
左孩子的前驱是指向左的,后继是右的

D
题中所给二叉树的后序序列为 。结点 无前驱和左子树,左链域空,无右子树,右链域指向其后继结点 ;
结点 无左子树,左链域指向其前驱结点 ; 结点 无左子树,左链域指向其前驱结点 ,无右子树,右链域指向其后继结点