题17

题目

已知一棵二叉树的后序序列为 ,中序序列为 ,则先序序列为 ( )
A.
B.
C.
D.

分析

只需要不断二分,划分子问题,把子树拼凑起来,然后再合成变成大树就可以了

D
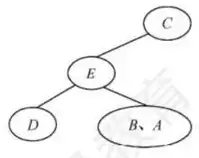
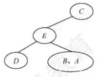
根据后序序列与中序序列可构造出二叉树,如下图所示。由图可知先序序列为

(b) 确定左子树根结点

(c) 确定剩下的子树