题4

题目

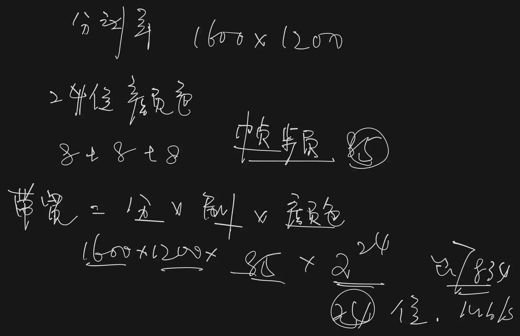
Q:【2010 统考真题】假定一台计算机的显示存储器用 DRAM 芯片实现, 若要求显示分辨率为 ,颜色深度为 24 位,帧频为 ,显存总带宽的 用来刷新屏幕, 则需要的显存总带宽至少约为 ( ) 。
A. B. C. D.

分析

A:刷新所需带宽 分辨率 色深 帧频 ,显存总带宽的 用来刷新屏幕,于是需要的显存总带宽至少为

D