题26

题目

[!error]+
Q:【2019 统考真题】某计算机采用 3 通道存储器总线, 配套的内存条型号为 DDR3-1333, 即内存条所接插的存储器总线的工作频率为 ,总线宽度为 64 位,则存储器总线的总带宽大约是 ( ) 。
A. B. C. D.

分析

[!NOTE]+
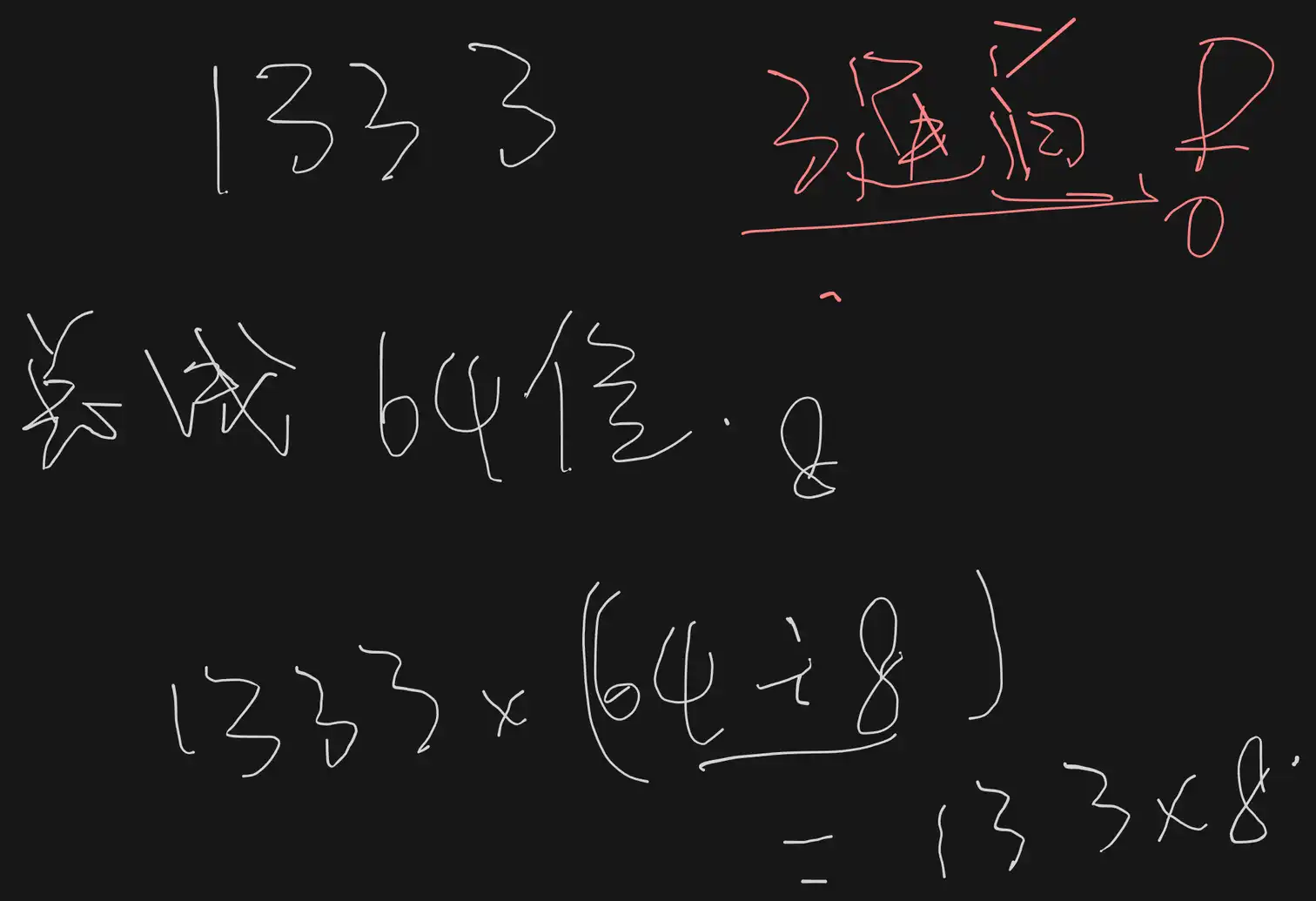
A:注意三通道这个条件怎么用
|300
我这么算没有乘上3,

[!done]+
B
由题目可知,计算机采用 3 通道存储器总线,存储器总线的工作频率为 ,即 1 秒内传送 次数据,总线宽度为 64 位即单条总线工作一次可传输 8 字节 (Byte),因此存储器总线的总带宽为 ,约为