题1.8

题目

Q:P18 1.8 已知 是 3 维列向量,且 是 3 阶矩阵,满足 ,
,则

分析

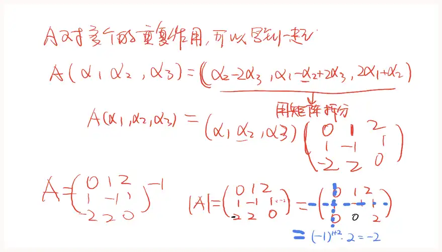
A:将向量 组合成矩阵 , 可以得到:

等式两边取行列式, 有

,故


由题设条件可知

对以上等式进行整理可以得到

将等式左边变形为

利用矩阵乘法的分配律,上式可以写成

代入上式,可得

将上式代入 中,可以得到

联立以上三个等式

将上式写成矩阵形式,即

两边取行列式可得

因为 ,所以