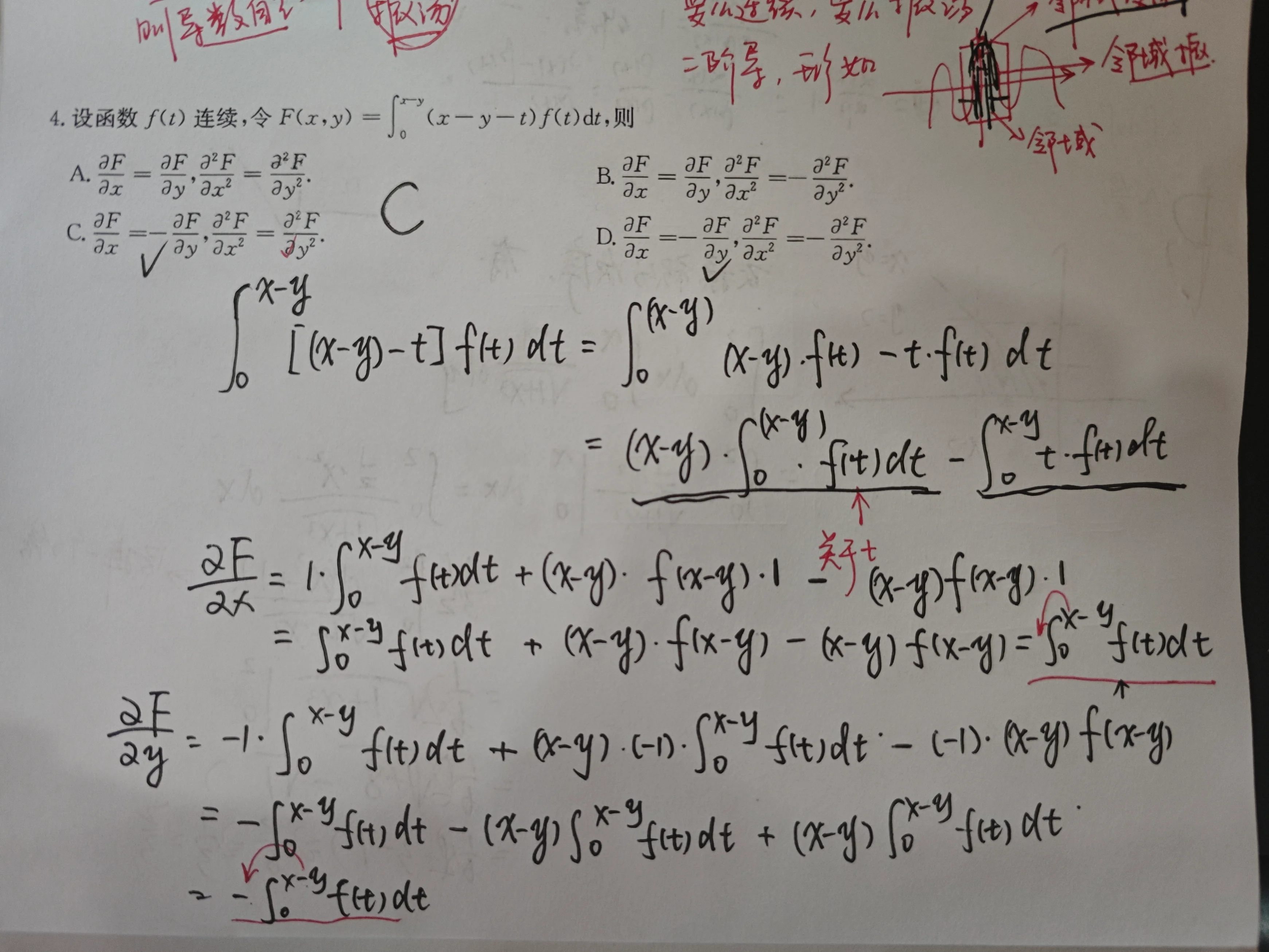
题4 题目 [!question]+ 设函数 连续,令 ,则 ( ) (A) . (B) . (C) . (D) . 分析 [!NOTE]+ 解 [!done]- 解 整理 的表达式. 分别计算 . 因此, . 应选 C.