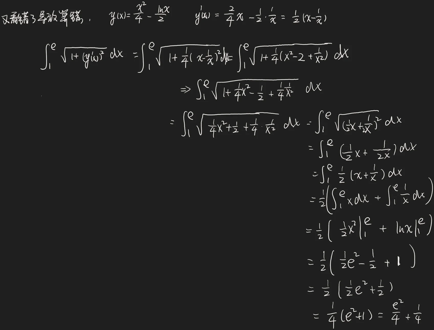
题18 题目 [!question]+ 设函数 是微分方程 满足条件 的解,求曲线 的弧长. 分析 [!NOTE]+ 看错题目,抄错过程了,导致的算错 解 [!done]- 本题中的微分方程为一阶非齐次线性微分方程,由求解公式计算并代入初值可得 的表达式,再代入曲线弧长的计算公式即可计算得弧长. 曲线弧长的计算公式 当曲线由直角坐标方程 给出,且 在 上具有连续导数时, 弧长 解 整理原方程可得 . 这是一个一阶非齐次线性微分方程,由求解公式可得, 代入 可得, . 因此, . 计算得 . 代入曲线弧长的计算公式可得