题17

题目

[!question]+
求极限

分析

[!NOTE]+
|375
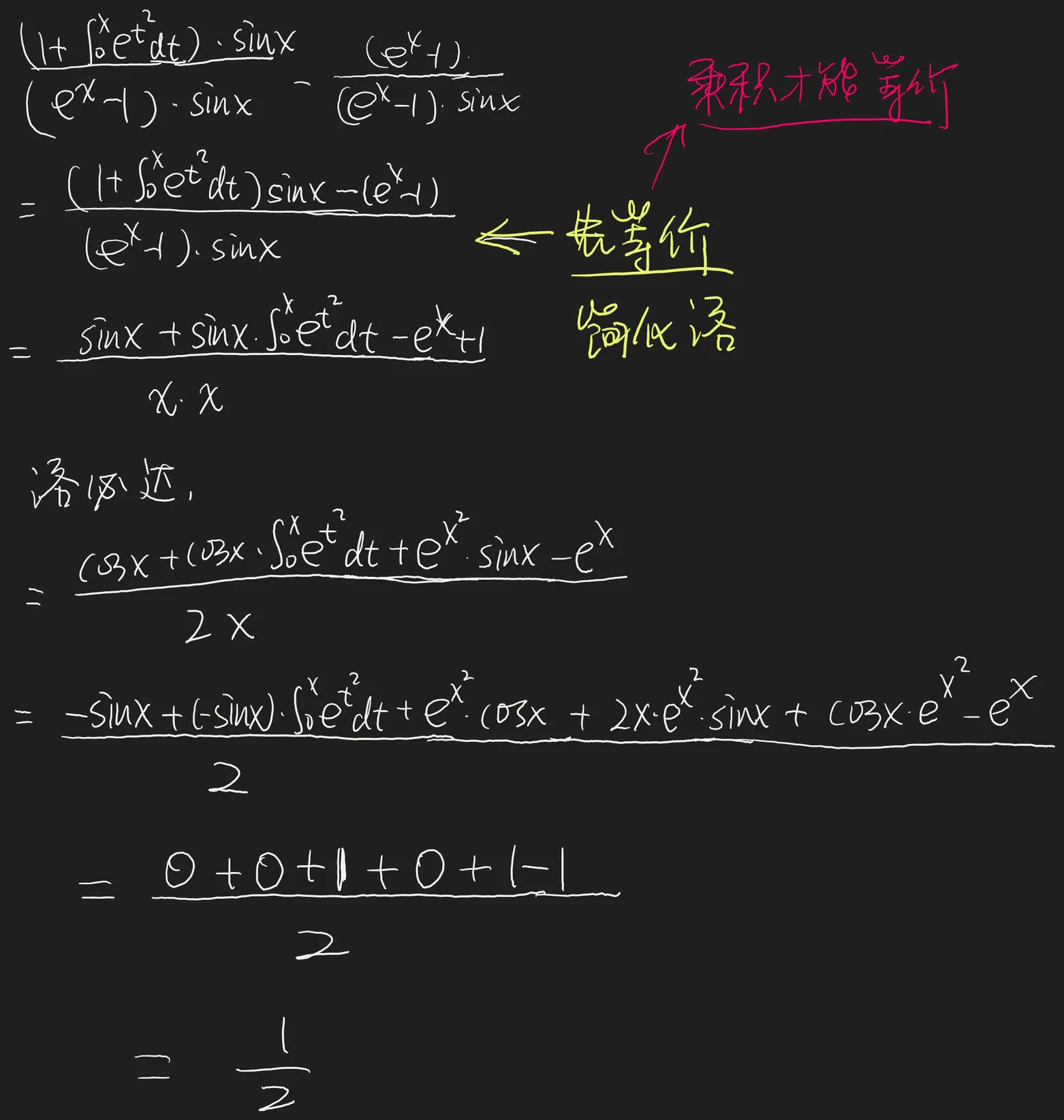
大胆通分
|375

[!done]-
解 (法一) 先整理原极限再计算.

原极限

因此,原极限 .

(法二) 将原极限通分整理,化为 型未定式后再应用洛必达法则.

原极限

因此,原极限 .