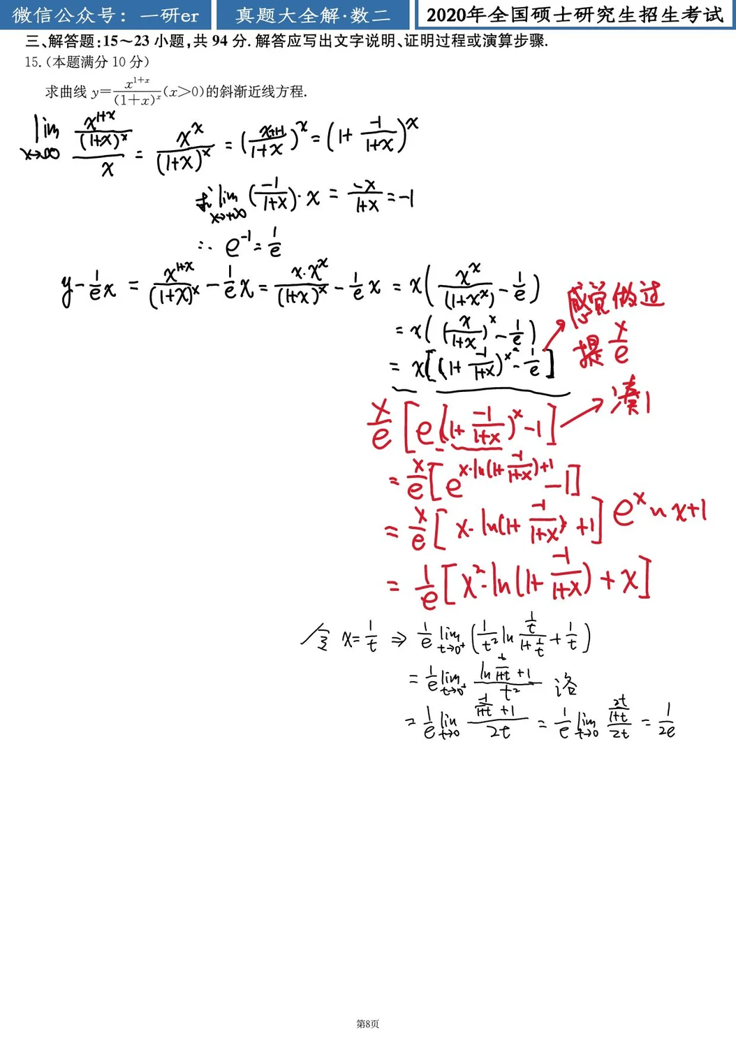
题15 题目 [!question]+ 求曲线 的斜渐近线方程. 分析 [!NOTE]+ 做了好几次了,每次都忘记了提取,给复杂结构的部分构造一个+1 解 [!done]- 斜渐近线 若 且 ,或者 且 ,则称直线 为曲线 的斜渐近线. 解 根据斜渐近线的定义, 先计算 . 下面计算 . 由 (1) 式继续计算可得, 洛必达 因此, 所求斜渐近线方程为 . 如果不采用倒代换, 也可以如下计算 . 由 可得, . 于是,