题15

题目

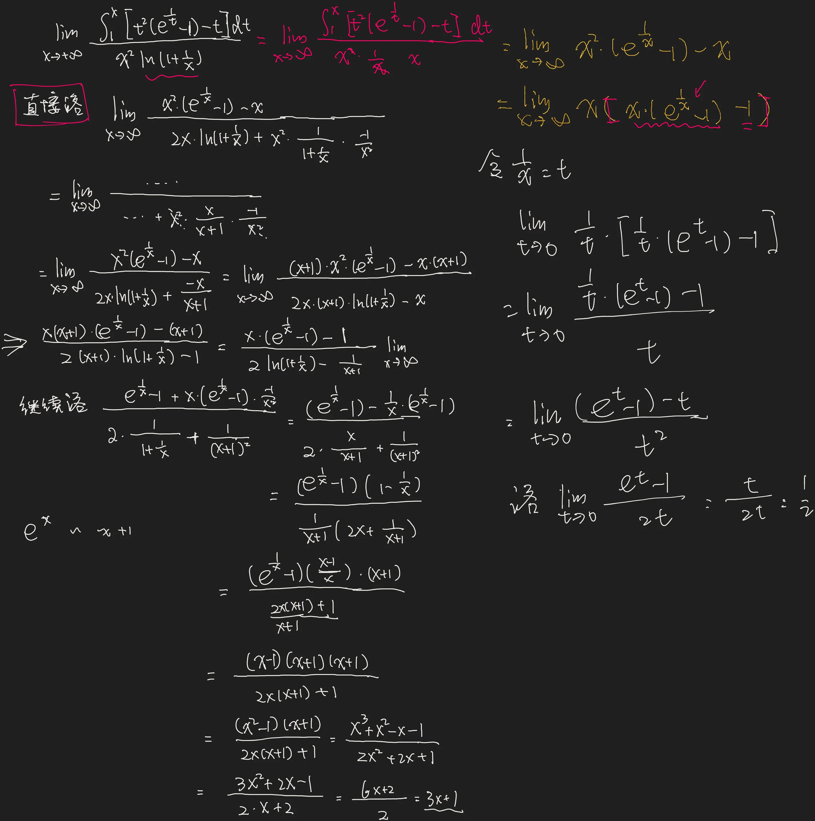
[!question]+
求极限 .

分析

[!NOTE]+
等价无穷小洛必达法则不要无脑洛,可以多看看
|450

[!done]-
解 由于 处的带拉格朗日余项的 2 阶泰勒公式为 ,其中

,故当 时, . 于是, ,

从而 .

另一方面,

因此,原极限为 型未定式.

时, ,故

因此,原极限 .

将原极限化简为 后,也可以用泰勒公式来求该极限.

时, . 由 处的泰勒公式得,

从而,